mp-9718/Rb3BAs2/anharm

Harmonic properties

../../_images/fig_bandos_pr1202.png

(a) Phonon dispersion with participation ratio and DOS

../../_images/fig_thermo1202.png

(b) Thermodynamic properties

Grüneisen parameters

../../_images/fig_gru_all747.png

(a) Grüneisen parameters

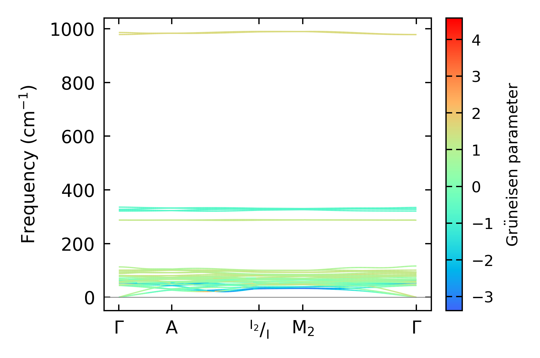
../../_images/fig_gruneisen747.png

(b) Phonon dispersion with Grüneisen parameters

Thermal conductivity

3-phonon (LASSO) — q-mesh: 10x10x7, supercell: 1x2x2

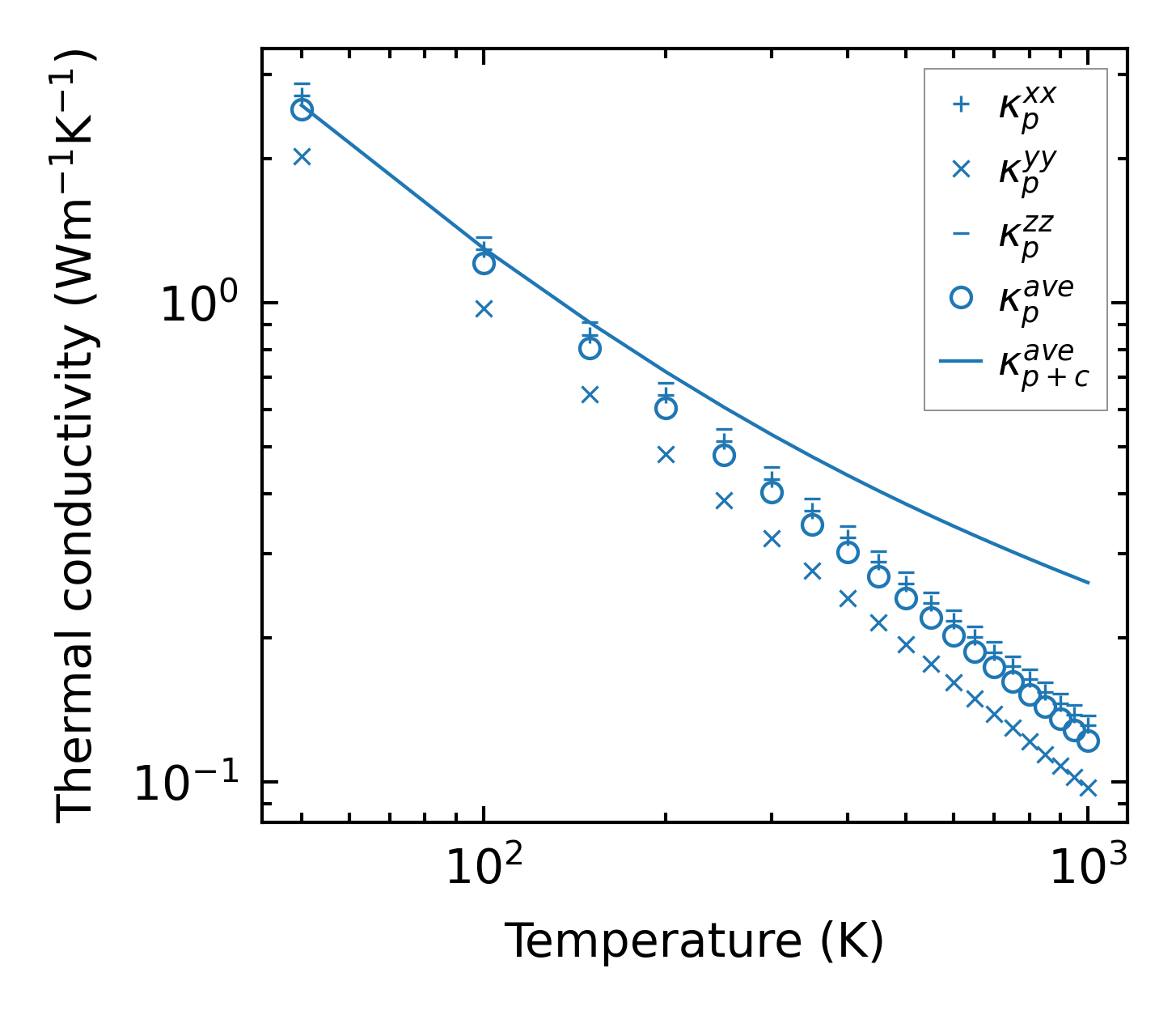
../../_images/fig_kappa1456.png

(a) Temperature-dependent lattice thermal conductivity

../../_images/fig_kappa_vs_grain_size756.png

(b) Peierls lattice thermal conductivity w.r.t grain size

Phonon lifetime and scattering rates

../../_images/fig_lifetime743.png

(a) Phonon lifetime due to phonon-phonon scattering

../../_images/fig_scat_rates742.png

(b) Phonon scattering rates

Cumulative and spectral thermal conductivity

../../_images/fig_cumu_frequency743.png

(a) Spectral and cumulative thermal conductivity w.r.t frequency

../../_images/fig_cumu_mfp743.png

(b) Spectral and cumulative thermal conductivity w.r.t MFP

Force constants

../../_images/fig_fc21068.png

(a) Force constants w.r.t atomic distance

Summary

../../_images/fig_kappa1457.png

(a) Temperature-dependent lattice thermal conductivity

../../_images/fig_times1804.png

(b) Computation time