mp-9868/KCu3S2/anharm

Harmonic properties

../../_images/fig_bandos_pr1270.png

(a) Phonon dispersion with participation ratio and DOS

../../_images/fig_thermo1270.png

(b) Thermodynamic properties

Grüneisen parameters

../../_images/fig_gru_all783.png

(a) Grüneisen parameters

../../_images/fig_gruneisen783.png

(b) Phonon dispersion with Grüneisen parameters

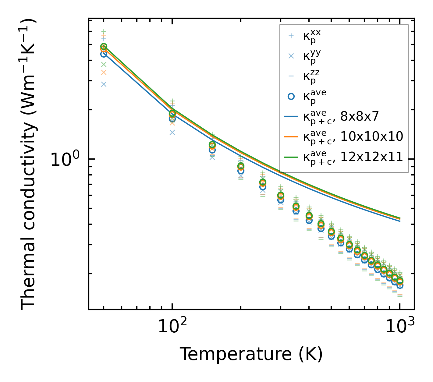
Thermal conductivity

3-phonon (LASSO) — q-mesh: 12x12x11, supercell: 1x3x2

../../_images/fig_kappa1523.png

(a) Temperature-dependent lattice thermal conductivity

../../_images/fig_kappa_vs_grain_size791.png

(b) Peierls lattice thermal conductivity w.r.t grain size

Phonon lifetime and scattering rates

../../_images/fig_lifetime777.png

(a) Phonon lifetime due to phonon-phonon scattering

../../_images/fig_scat_rates776.png

(b) Phonon scattering rates

Cumulative and spectral thermal conductivity

../../_images/fig_cumu_frequency777.png

(a) Spectral and cumulative thermal conductivity w.r.t frequency

../../_images/fig_cumu_mfp777.png

(b) Spectral and cumulative thermal conductivity w.r.t MFP

Force constants

../../_images/fig_fc21136.png

(a) Force constants w.r.t atomic distance

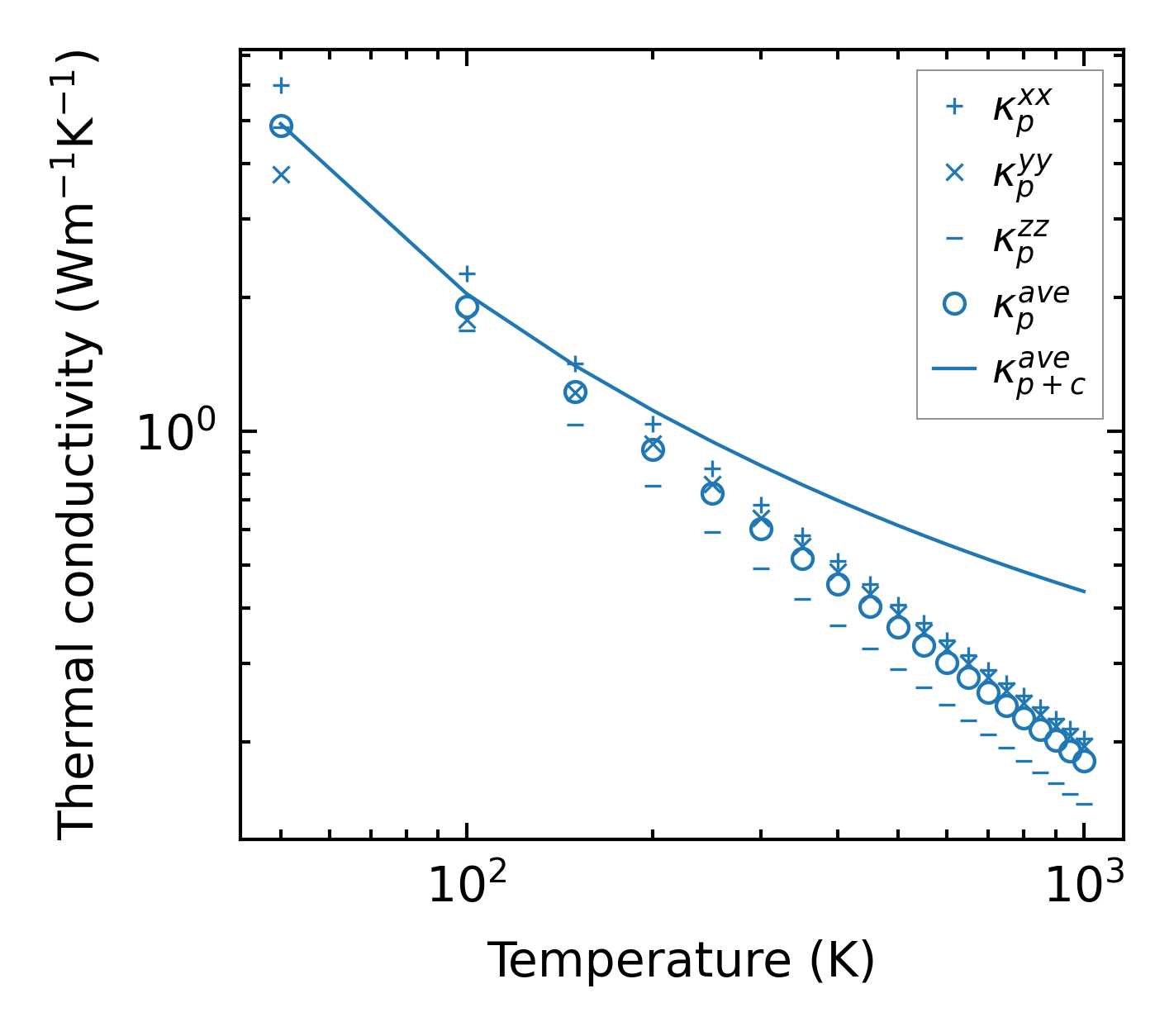
Summary

../../_images/fig_kappa1524.png

(a) Temperature-dependent lattice thermal conductivity

../../_images/fig_times1897.png

(b) Computation time