mp-9778/K2AgP/anharm

Harmonic properties

../../_images/fig_bandos_pr1233.png

(a) Phonon dispersion with participation ratio and DOS

../../_images/fig_thermo1233.png

(b) Thermodynamic properties

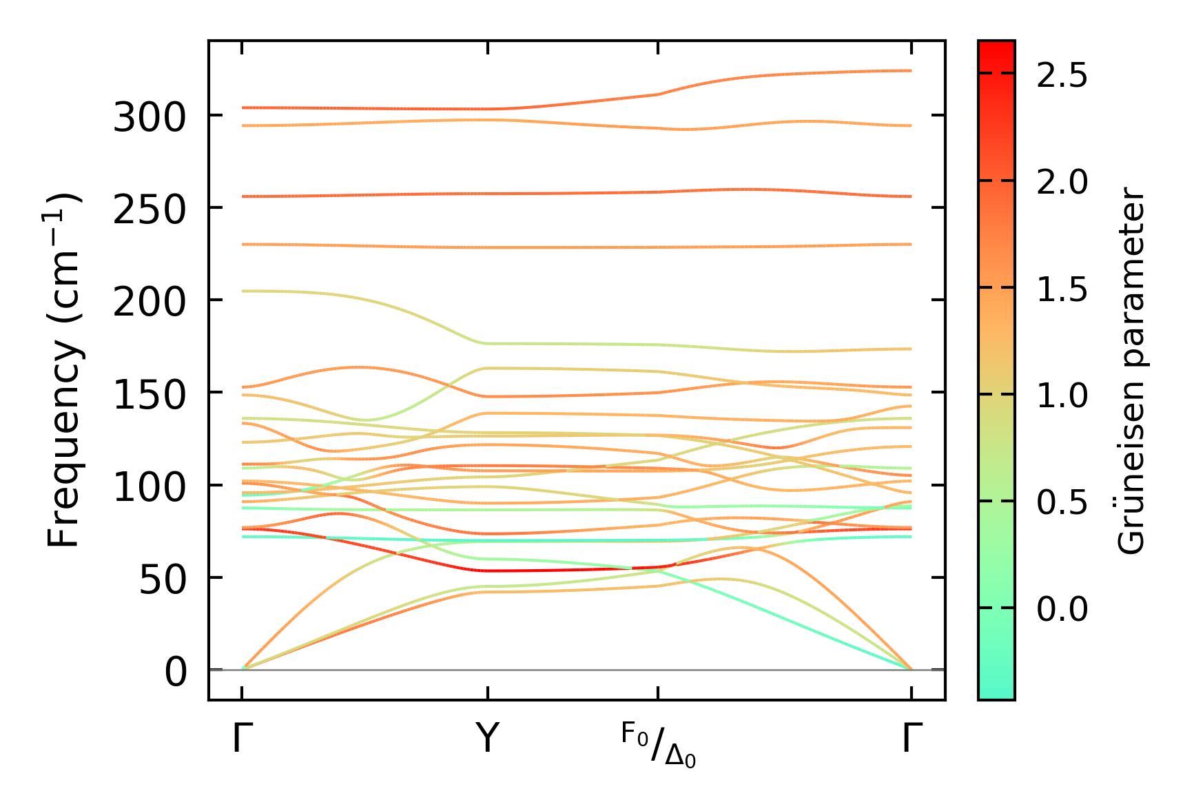
Grüneisen parameters

../../_images/fig_gru_all765.png

(a) Grüneisen parameters

../../_images/fig_gruneisen765.png

(b) Phonon dispersion with Grüneisen parameters

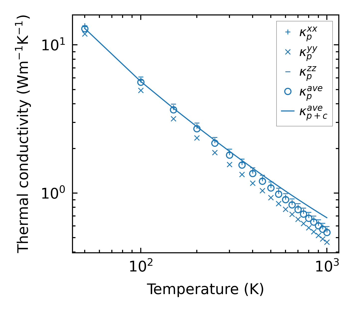
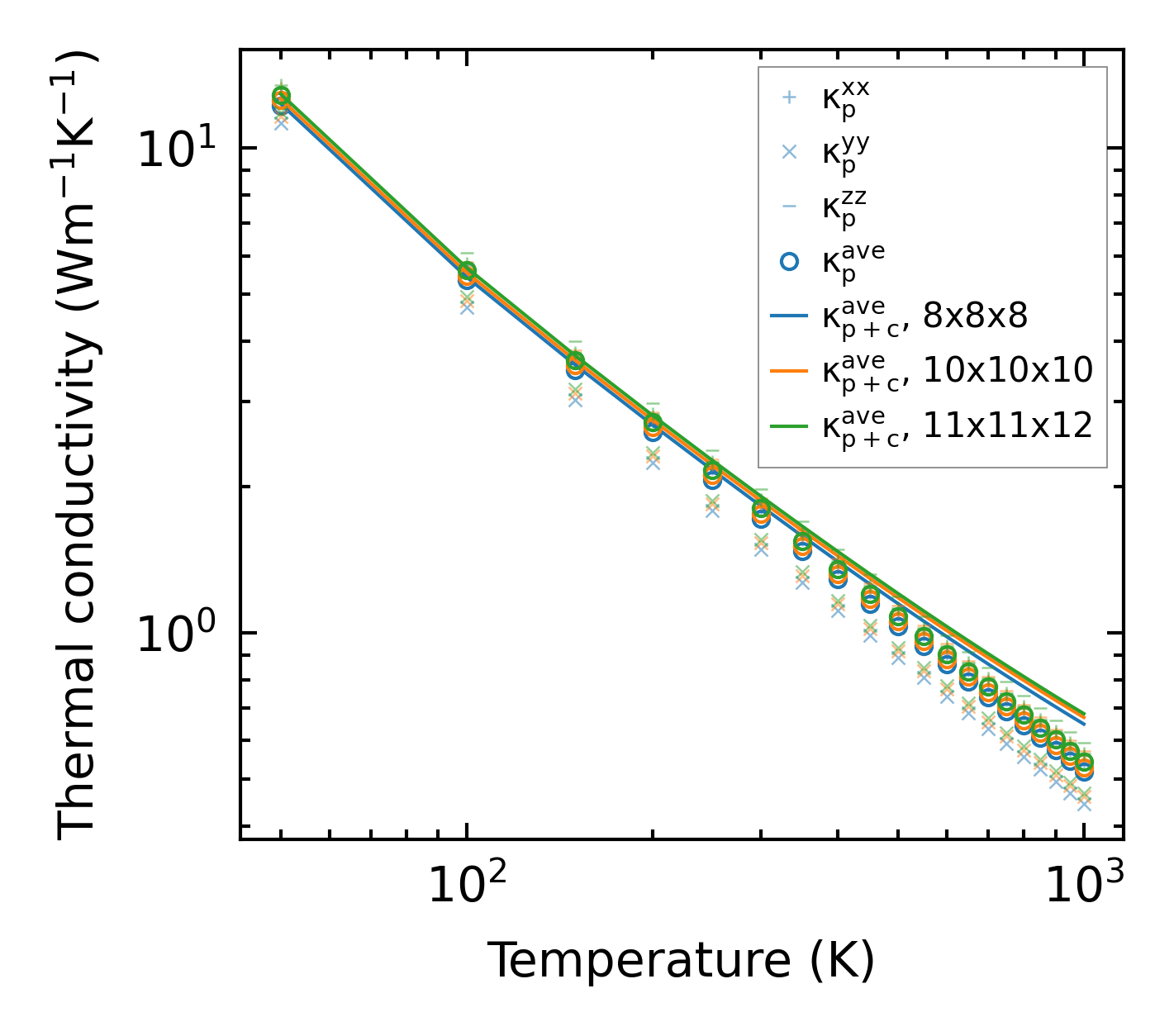
Thermal conductivity

3-phonon (LASSO) — q-mesh: 11x11x12, supercell: 2x2x2

../../_images/fig_kappa1488.png

(a) Temperature-dependent lattice thermal conductivity

../../_images/fig_kappa_vs_grain_size773.png

(b) Peierls lattice thermal conductivity w.r.t grain size

Phonon lifetime and scattering rates

../../_images/fig_lifetime759.png

(a) Phonon lifetime due to phonon-phonon scattering

../../_images/fig_scat_rates758.png

(b) Phonon scattering rates

Cumulative and spectral thermal conductivity

../../_images/fig_cumu_frequency759.png

(a) Spectral and cumulative thermal conductivity w.r.t frequency

../../_images/fig_cumu_mfp759.png

(b) Spectral and cumulative thermal conductivity w.r.t MFP

Force constants

../../_images/fig_fc21099.png

(a) Force constants w.r.t atomic distance

Summary

../../_images/fig_kappa1489.png

(a) Temperature-dependent lattice thermal conductivity

../../_images/fig_times1844.png

(b) Computation time