mp-9179-2/Ba3Zr2S7/harm

Equation of state

../../_images/fig_bm487.png

(a) Equation of state

Harmonic properties

../../_images/fig_bandos_pr1384.png

(a) Phonon dispersion with participation ratio and DOS

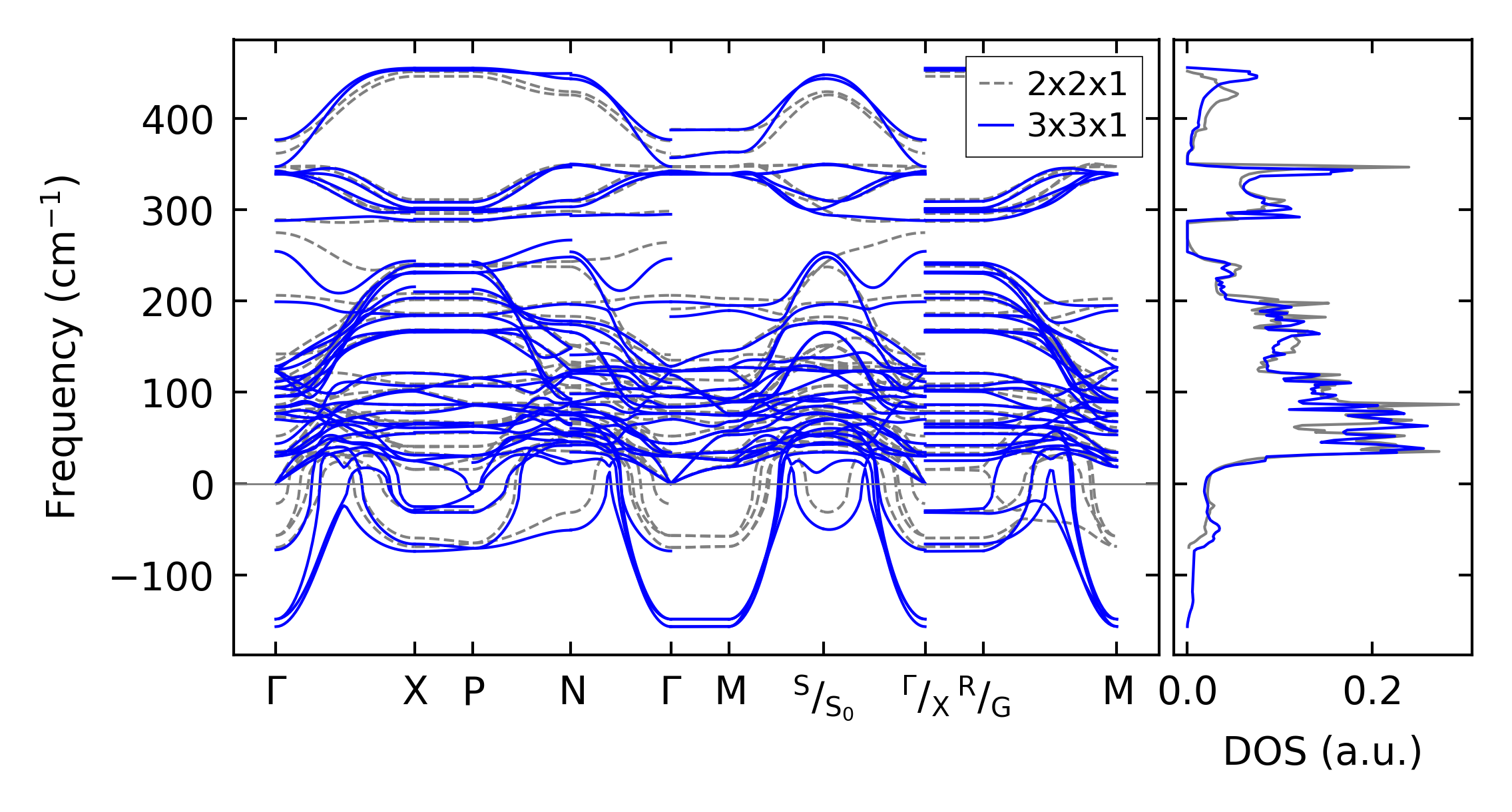
../../_images/fig_bandos1300.png

(b) Phonon dispersion and DOS

../../_images/fig_thermo1384.png

(c) Thermodynamic properties

Force constants

../../_images/fig_fc21238.png

(a) Force constants w.r.t atomic distance

Summary

../../_images/fig_times2082.png

(a) Computation time