mp-9775/NaSrAs/anharm

Harmonic properties

../../_images/fig_bandos_pr1232.png

(a) Phonon dispersion with participation ratio and DOS

../../_images/fig_thermo1232.png

(b) Thermodynamic properties

Grüneisen parameters

../../_images/fig_gru_all764.png

(a) Grüneisen parameters

../../_images/fig_gruneisen764.png

(b) Phonon dispersion with Grüneisen parameters

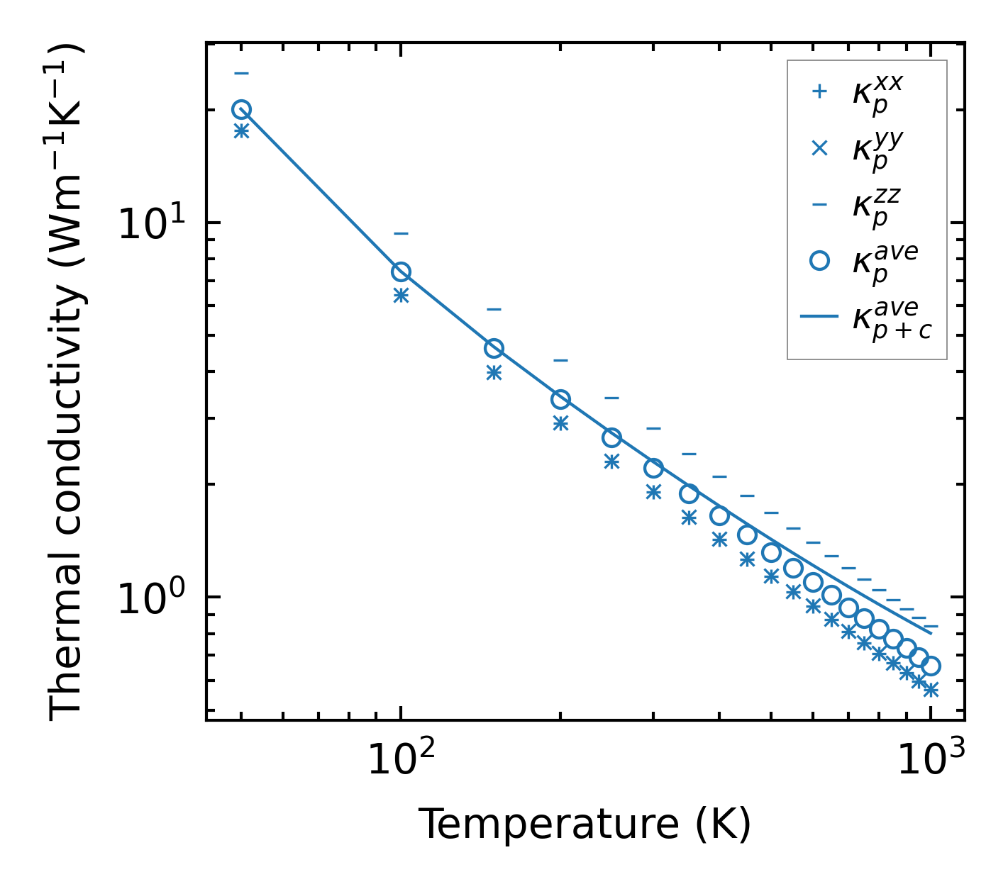
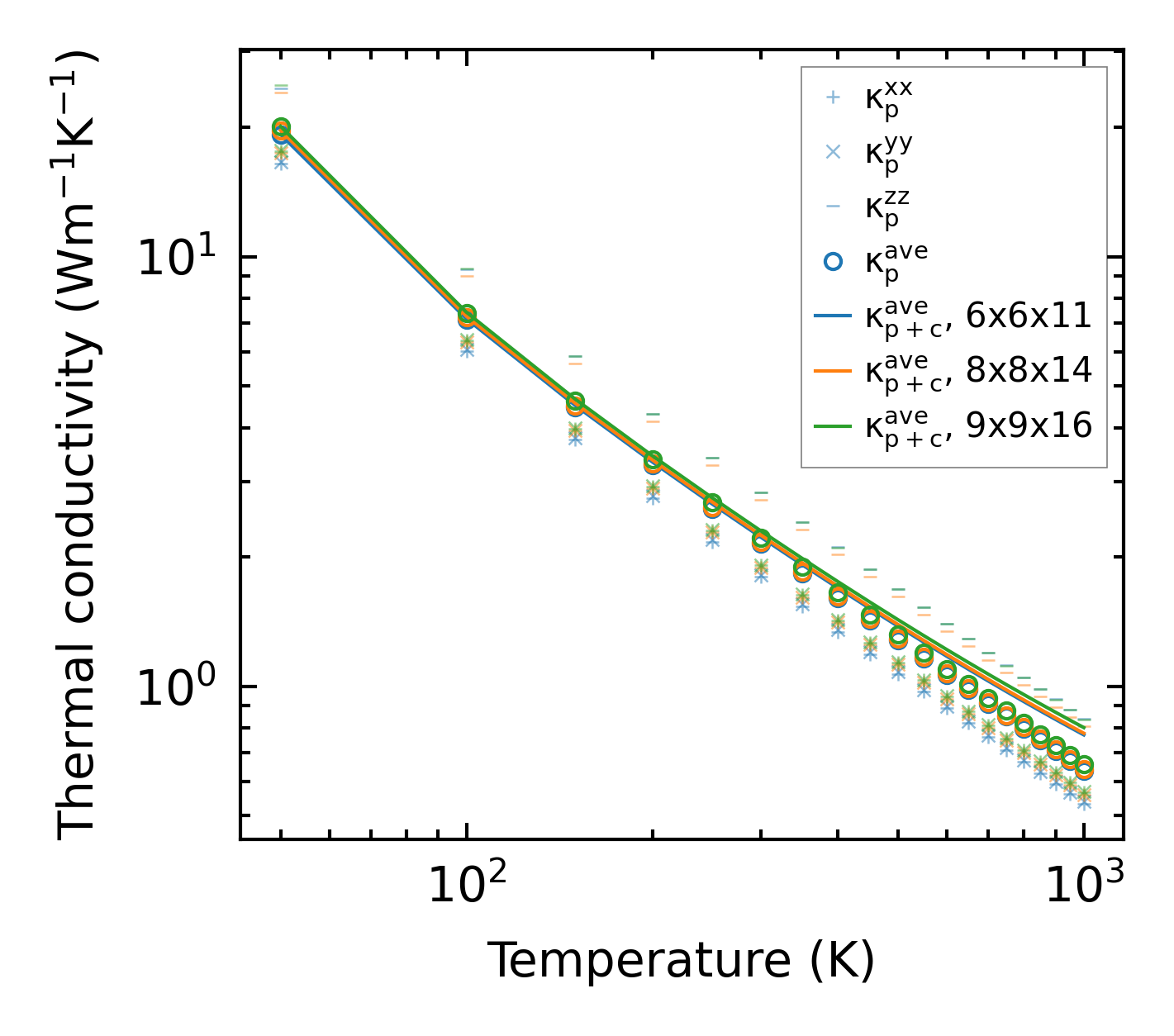
Thermal conductivity

3-phonon (LASSO) — q-mesh: 9x9x16, supercell: 2x2x4

../../_images/fig_kappa1486.png

(a) Temperature-dependent lattice thermal conductivity

../../_images/fig_kappa_vs_grain_size772.png

(b) Peierls lattice thermal conductivity w.r.t grain size

Phonon lifetime and scattering rates

../../_images/fig_lifetime758.png

(a) Phonon lifetime due to phonon-phonon scattering

../../_images/fig_scat_rates757.png

(b) Phonon scattering rates

Cumulative and spectral thermal conductivity

../../_images/fig_cumu_frequency758.png

(a) Spectral and cumulative thermal conductivity w.r.t frequency

../../_images/fig_cumu_mfp758.png

(b) Spectral and cumulative thermal conductivity w.r.t MFP

Force constants

../../_images/fig_fc21098.png

(a) Force constants w.r.t atomic distance

Summary

../../_images/fig_kappa1487.png

(a) Temperature-dependent lattice thermal conductivity

../../_images/fig_times1843.png

(b) Computation time