mp-9851/HoP5/anharm

Harmonic properties

../../_images/fig_bandos_pr1264.png

(a) Phonon dispersion with participation ratio and DOS

../../_images/fig_thermo1264.png

(b) Thermodynamic properties

Grüneisen parameters

../../_images/fig_gru_all779.png

(a) Grüneisen parameters

../../_images/fig_gruneisen779.png

(b) Phonon dispersion with Grüneisen parameters

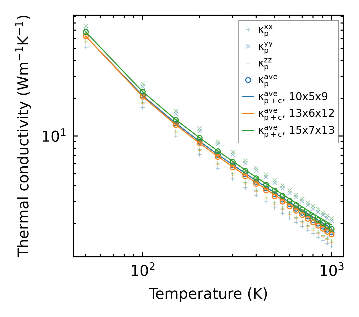
Thermal conductivity

3-phonon (LASSO) — q-mesh: 15x7x13, supercell: 3x2x2

../../_images/fig_kappa1515.png

(a) Temperature-dependent lattice thermal conductivity

../../_images/fig_kappa_vs_grain_size787.png

(b) Peierls lattice thermal conductivity w.r.t grain size

Phonon lifetime and scattering rates

../../_images/fig_lifetime773.png

(a) Phonon lifetime due to phonon-phonon scattering

../../_images/fig_scat_rates772.png

(b) Phonon scattering rates

Cumulative and spectral thermal conductivity

../../_images/fig_cumu_frequency773.png

(a) Spectral and cumulative thermal conductivity w.r.t frequency

../../_images/fig_cumu_mfp773.png

(b) Spectral and cumulative thermal conductivity w.r.t MFP

Force constants

../../_images/fig_fc21130.png

(a) Force constants w.r.t atomic distance

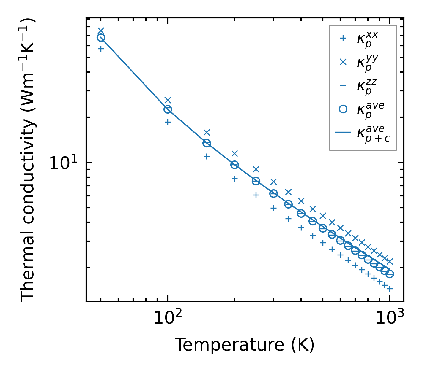
Summary

../../_images/fig_kappa1516.png

(a) Temperature-dependent lattice thermal conductivity

../../_images/fig_times1890.png

(b) Computation time