mp-9475/KNO3/anharm

Harmonic properties

../../_images/fig_bandos_pr1481.png

(a) Phonon dispersion with participation ratio and DOS

../../_images/fig_thermo1481.png

(b) Thermodynamic properties

Grüneisen parameters

../../_images/fig_gru_all908.png

(a) Grüneisen parameters

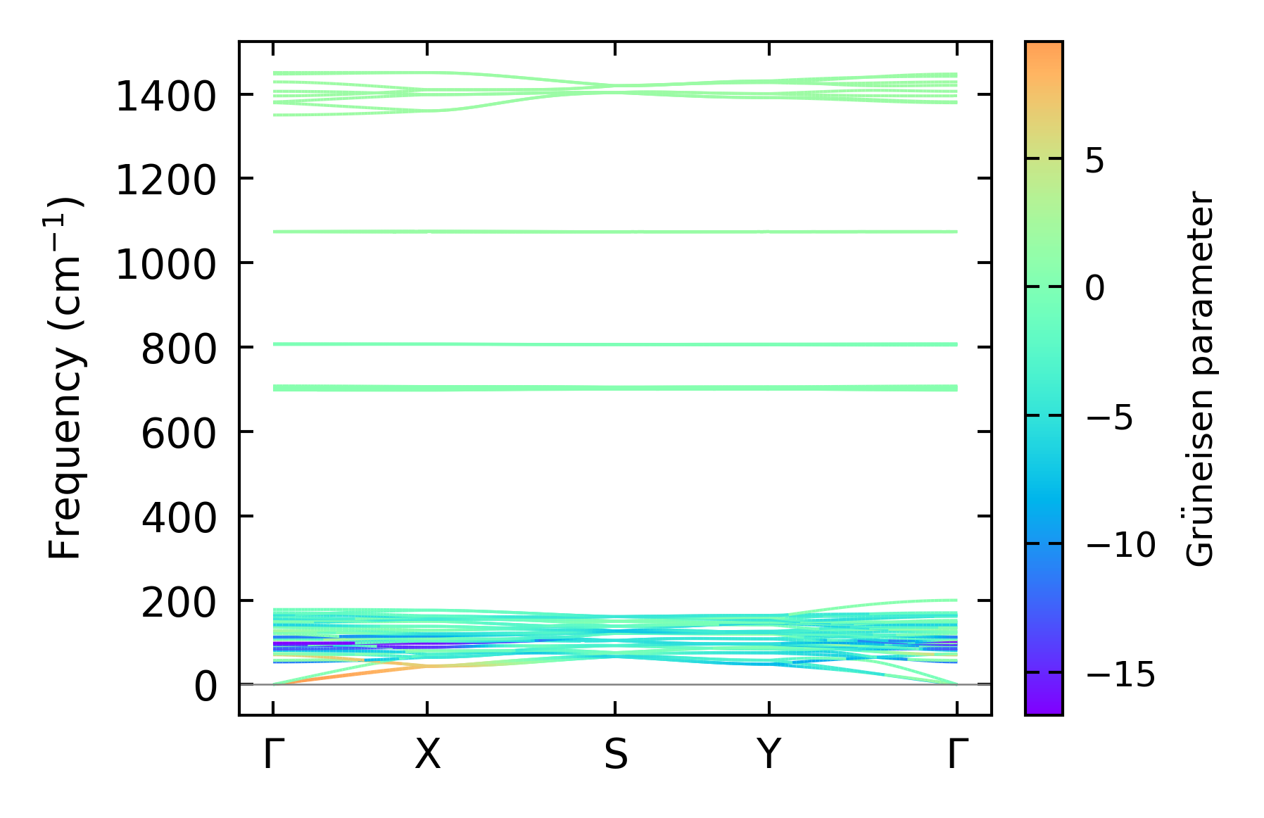
../../_images/fig_gruneisen908.png

(b) Phonon dispersion with Grüneisen parameters

Thermal conductivity

3-phonon (LASSO) — q-mesh: 9x12x10, supercell: 1x2x2

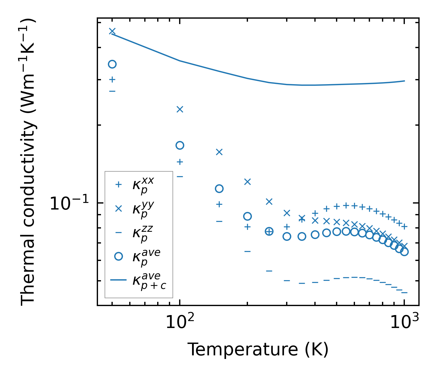
../../_images/fig_kappa1763.png

(a) Temperature-dependent lattice thermal conductivity

../../_images/fig_kappa_vs_grain_size918.png

(b) Peierls lattice thermal conductivity w.r.t grain size

Phonon lifetime and scattering rates

../../_images/fig_lifetime901.png

(a) Phonon lifetime due to phonon-phonon scattering

../../_images/fig_scat_rates900.png

(b) Phonon scattering rates

Cumulative and spectral thermal conductivity

../../_images/fig_cumu_frequency901.png

(a) Spectral and cumulative thermal conductivity w.r.t frequency

../../_images/fig_cumu_mfp901.png

(b) Spectral and cumulative thermal conductivity w.r.t MFP

Force constants

../../_images/fig_fc21332.png

(a) Force constants w.r.t atomic distance

Summary

../../_images/fig_kappa1764.png

(a) Temperature-dependent lattice thermal conductivity

../../_images/fig_times2208.png

(b) Computation time