mp-9366-2/RbHoS2/anharm

Equation of state

../../_images/fig_bm524.png

(a) Equation of state

Harmonic properties

../../_images/fig_bandos_pr1457.png

(a) Phonon dispersion with participation ratio and DOS

../../_images/fig_thermo1457.png

(b) Thermodynamic properties

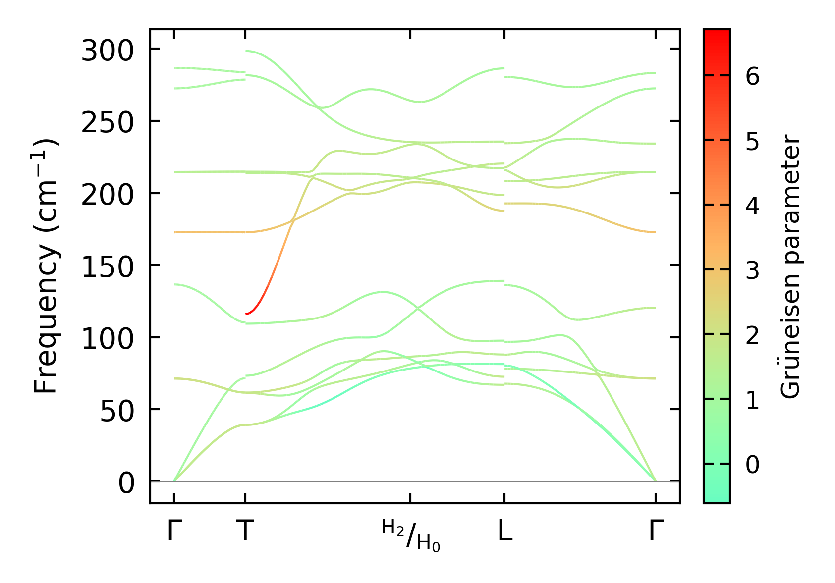
Grüneisen parameters

../../_images/fig_gru_all895.png

(a) Grüneisen parameters

../../_images/fig_gruneisen895.png

(b) Phonon dispersion with Grüneisen parameters

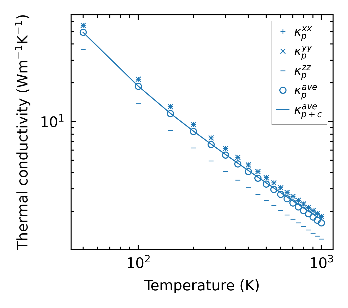
Thermal conductivity

3-phonon (LASSO) — q-mesh: 15x15x15, supercell: 3x3x1

../../_images/fig_kappa1737.png

(a) Temperature-dependent lattice thermal conductivity

../../_images/fig_kappa_vs_grain_size905.png

(b) Peierls lattice thermal conductivity w.r.t grain size

Phonon lifetime and scattering rates

../../_images/fig_lifetime888.png

(a) Phonon lifetime due to phonon-phonon scattering

../../_images/fig_scat_rates887.png

(b) Phonon scattering rates

Cumulative and spectral thermal conductivity

../../_images/fig_cumu_frequency888.png

(a) Spectral and cumulative thermal conductivity w.r.t frequency

../../_images/fig_cumu_mfp888.png

(b) Spectral and cumulative thermal conductivity w.r.t MFP

Force constants

../../_images/fig_fc21309.png

(a) Force constants w.r.t atomic distance

Summary

../../_images/fig_kappa1738.png

(a) Temperature-dependent lattice thermal conductivity

../../_images/fig_times2177.png

(b) Computation time