mp-9664/K3BP2/anharm

Equation of state

../../_images/fig_bm396.png

(a) Equation of state

Harmonic properties

../../_images/fig_bandos_pr1179.png

(a) Phonon dispersion with participation ratio and DOS

../../_images/fig_thermo1179.png

(b) Thermodynamic properties

Grüneisen parameters

../../_images/fig_gru_all730.png

(a) Grüneisen parameters

../../_images/fig_gruneisen730.png

(b) Phonon dispersion with Grüneisen parameters

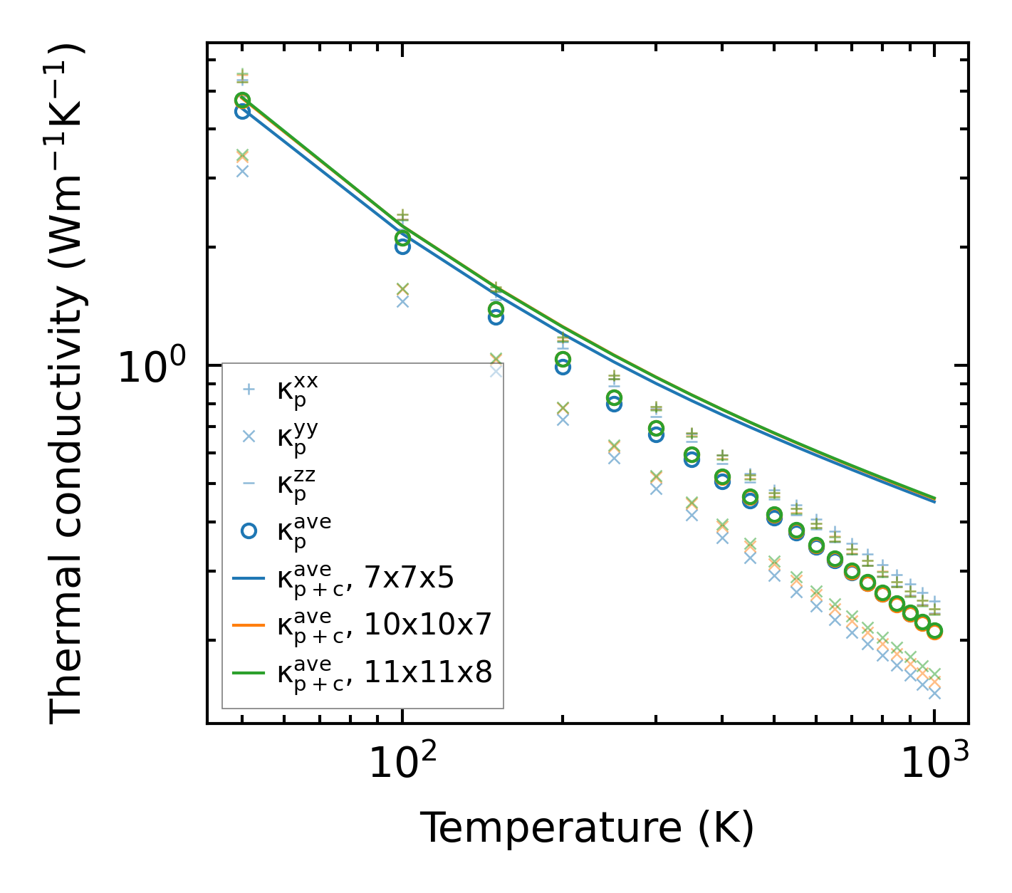
Thermal conductivity

3-phonon (LASSO) — q-mesh: 11x11x8, supercell: 1x2x2

../../_images/fig_kappa1426.png

(a) Temperature-dependent lattice thermal conductivity

../../_images/fig_kappa_vs_grain_size739.png

(b) Peierls lattice thermal conductivity w.r.t grain size

Force constants

../../_images/fig_fc21045.png

(a) Force constants w.r.t atomic distance

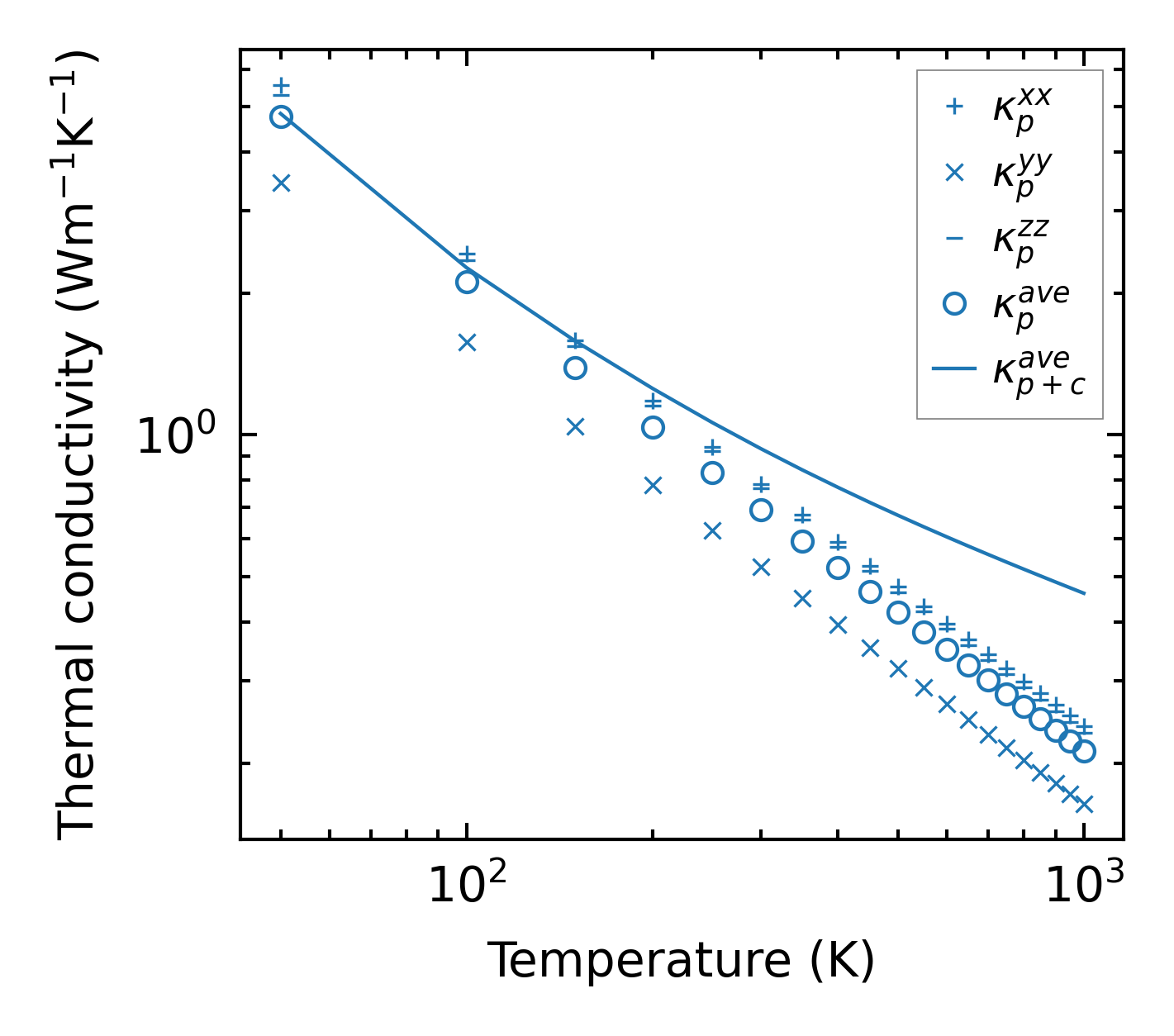
Summary

../../_images/fig_kappa1427.png

(a) Temperature-dependent lattice thermal conductivity

../../_images/fig_times1771.png

(b) Computation time