mp-9820-2/CsAsF6/anharm

Equation of state

../../_images/fig_bm437.png

(a) Equation of state

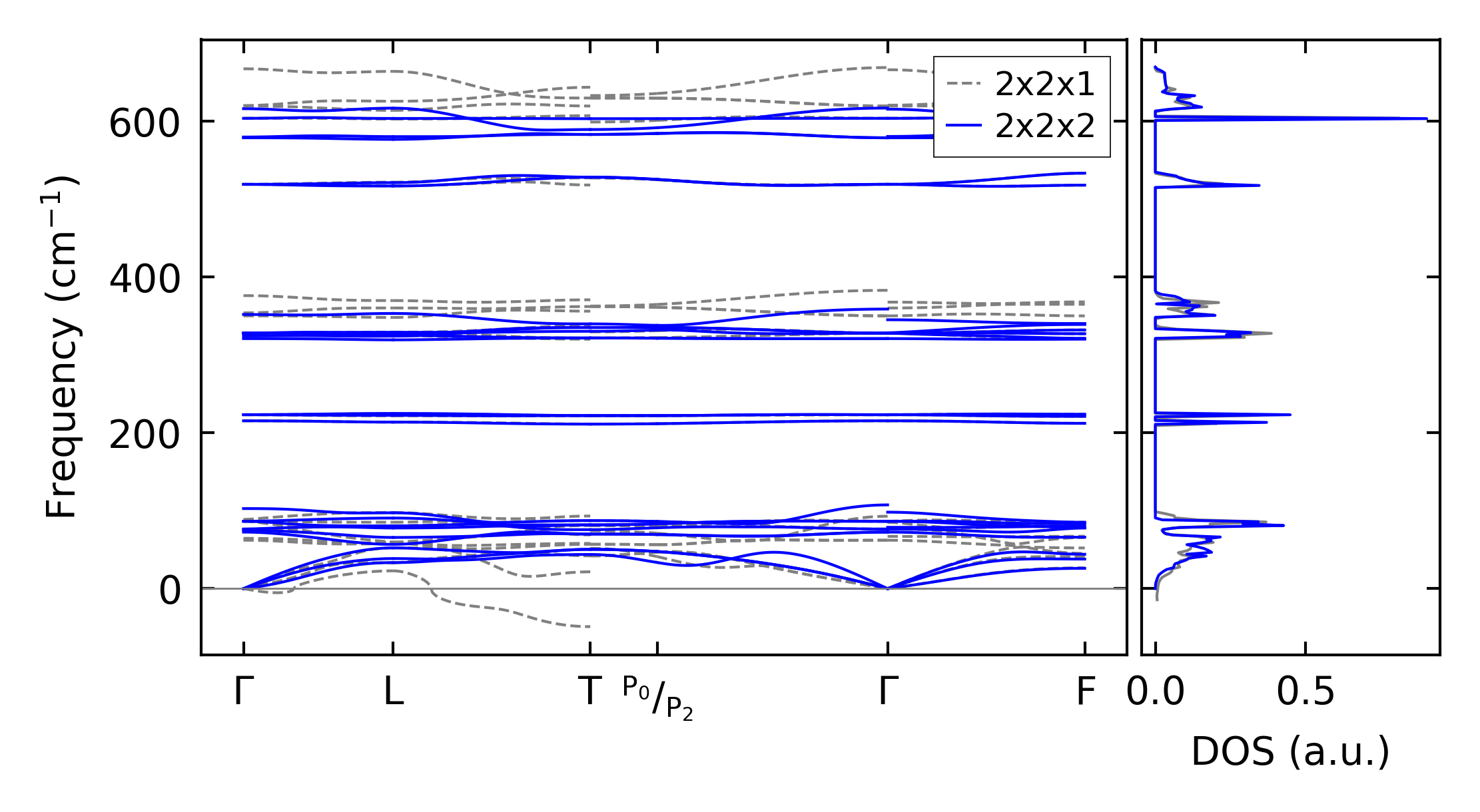
Harmonic properties

../../_images/fig_bandos_pr1255.png

(a) Phonon dispersion with participation ratio and DOS

../../_images/fig_bandos1170.png

(b) Phonon dispersion and DOS

../../_images/fig_thermo1255.png

(c) Thermodynamic properties

Grüneisen parameters

../../_images/fig_gru_all772.png

(a) Grüneisen parameters

../../_images/fig_gruneisen772.png

(b) Phonon dispersion with Grüneisen parameters

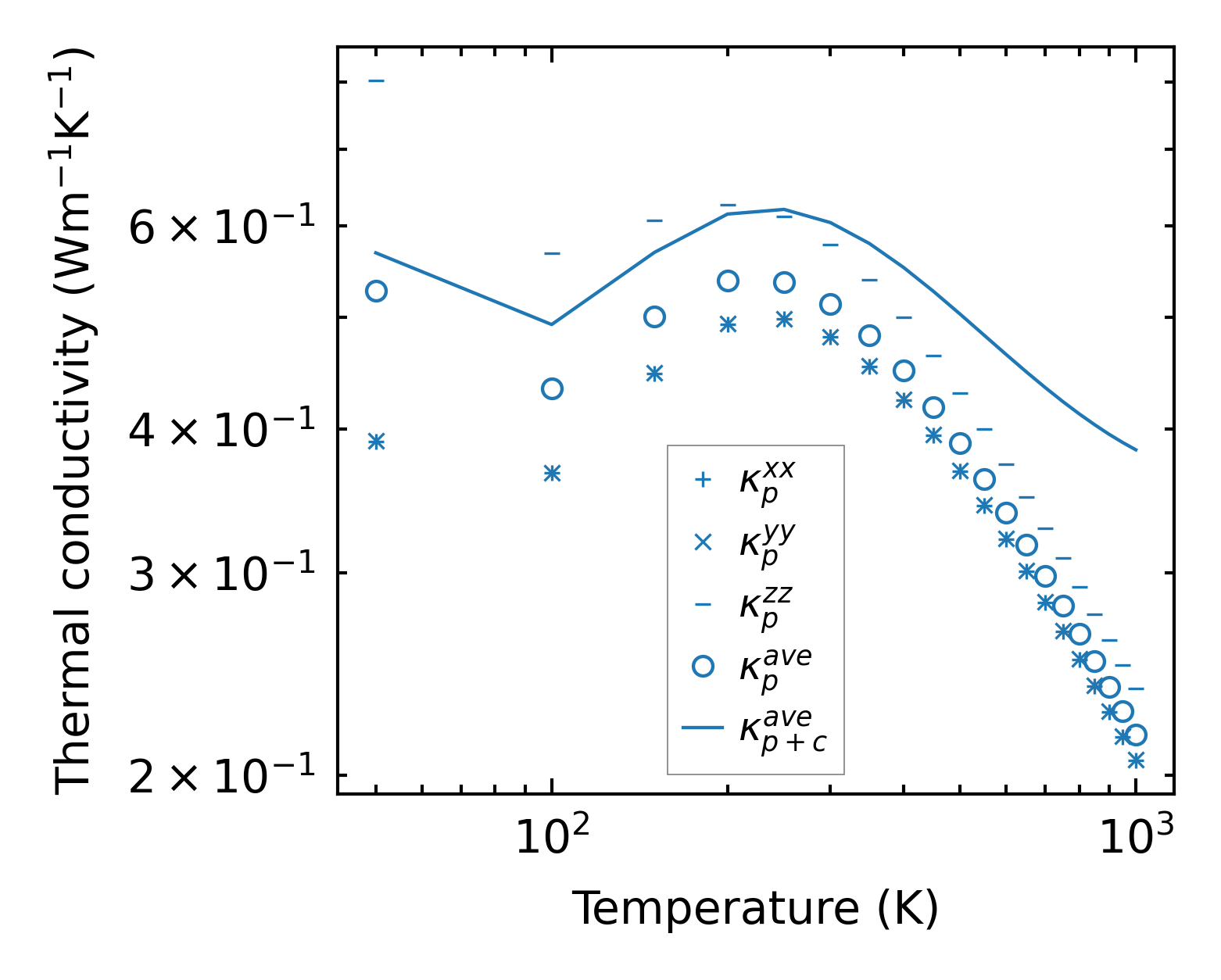
Thermal conductivity

3-phonon (LASSO), supercell 2x2x2 — q-mesh: 13x13x13, supercell: 2x2x2

../../_images/fig_kappa1502.png

(a) Temperature-dependent lattice thermal conductivity

../../_images/fig_kappa_vs_grain_size780.png

(b) Peierls lattice thermal conductivity w.r.t grain size

Phonon lifetime and scattering rates

../../_images/fig_lifetime766.png

(a) Phonon lifetime due to phonon-phonon scattering

../../_images/fig_scat_rates765.png

(b) Phonon scattering rates

Cumulative and spectral thermal conductivity

../../_images/fig_cumu_frequency766.png

(a) Spectral and cumulative thermal conductivity w.r.t frequency

../../_images/fig_cumu_mfp766.png

(b) Spectral and cumulative thermal conductivity w.r.t MFP

Force constants

../../_images/fig_fc21121.png

(a) Force constants w.r.t atomic distance

Summary

../../_images/fig_times1879.png

(a) Computation time