mp-9160/La4Au2O9/anharm

Harmonic properties

../../_images/fig_bandos_pr1378.png

(a) Phonon dispersion with participation ratio and DOS

../../_images/fig_thermo1378.png

(b) Thermodynamic properties

Grüneisen parameters

../../_images/fig_gru_all851.png

(a) Grüneisen parameters

../../_images/fig_gruneisen851.png

(b) Phonon dispersion with Grüneisen parameters

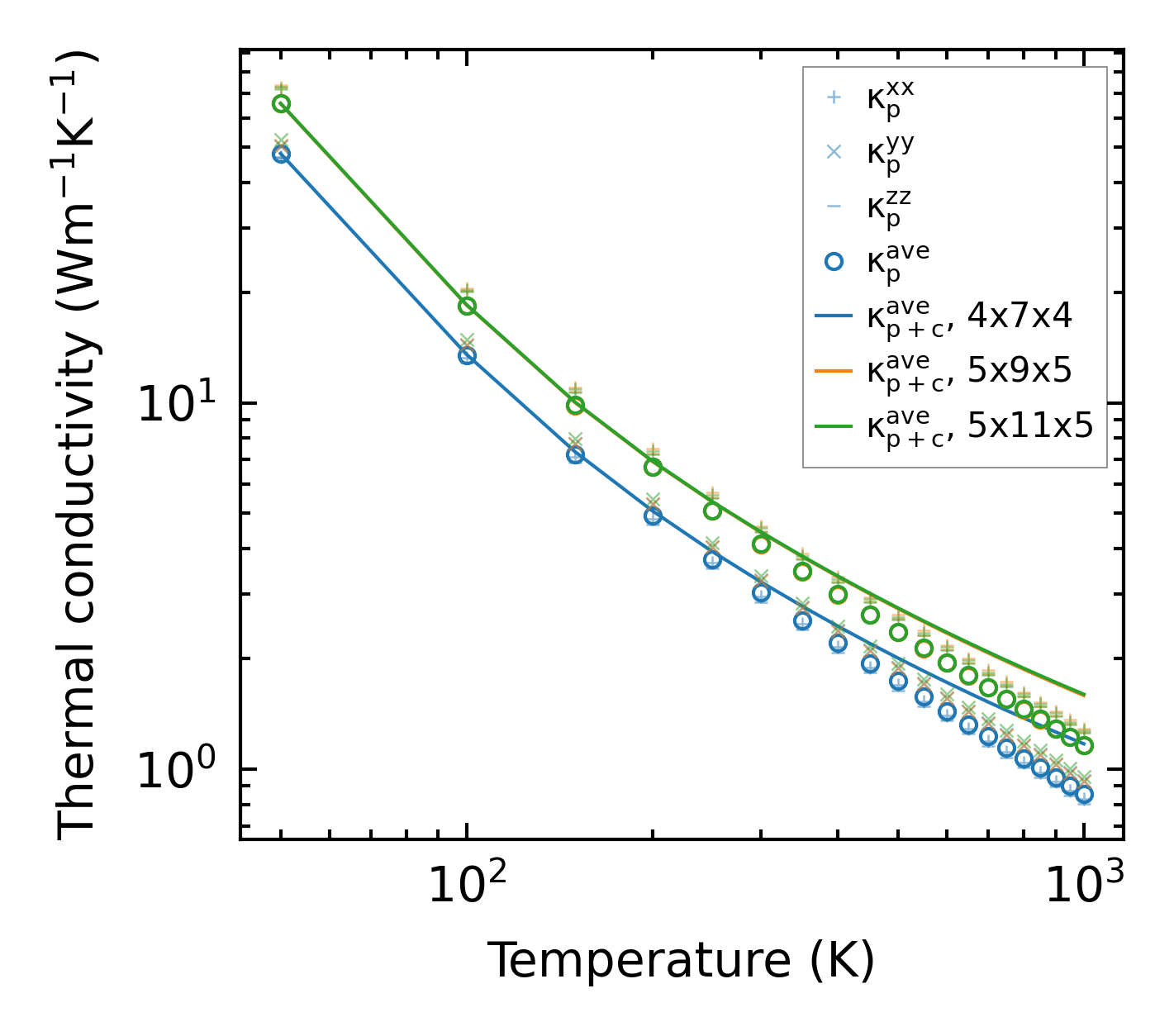
Thermal conductivity

3-phonon (LASSO) — q-mesh: 5x11x5, supercell: 1x2x1

../../_images/fig_kappa1653.png

(a) Temperature-dependent lattice thermal conductivity

../../_images/fig_kappa_vs_grain_size861.png

(b) Peierls lattice thermal conductivity w.r.t grain size

Phonon lifetime and scattering rates

../../_images/fig_lifetime845.png

(a) Phonon lifetime due to phonon-phonon scattering

../../_images/fig_scat_rates844.png

(b) Phonon scattering rates

Cumulative and spectral thermal conductivity

../../_images/fig_cumu_frequency845.png

(a) Spectral and cumulative thermal conductivity w.r.t frequency

../../_images/fig_cumu_mfp845.png

(b) Spectral and cumulative thermal conductivity w.r.t MFP

Force constants

../../_images/fig_fc21232.png

(a) Force constants w.r.t atomic distance

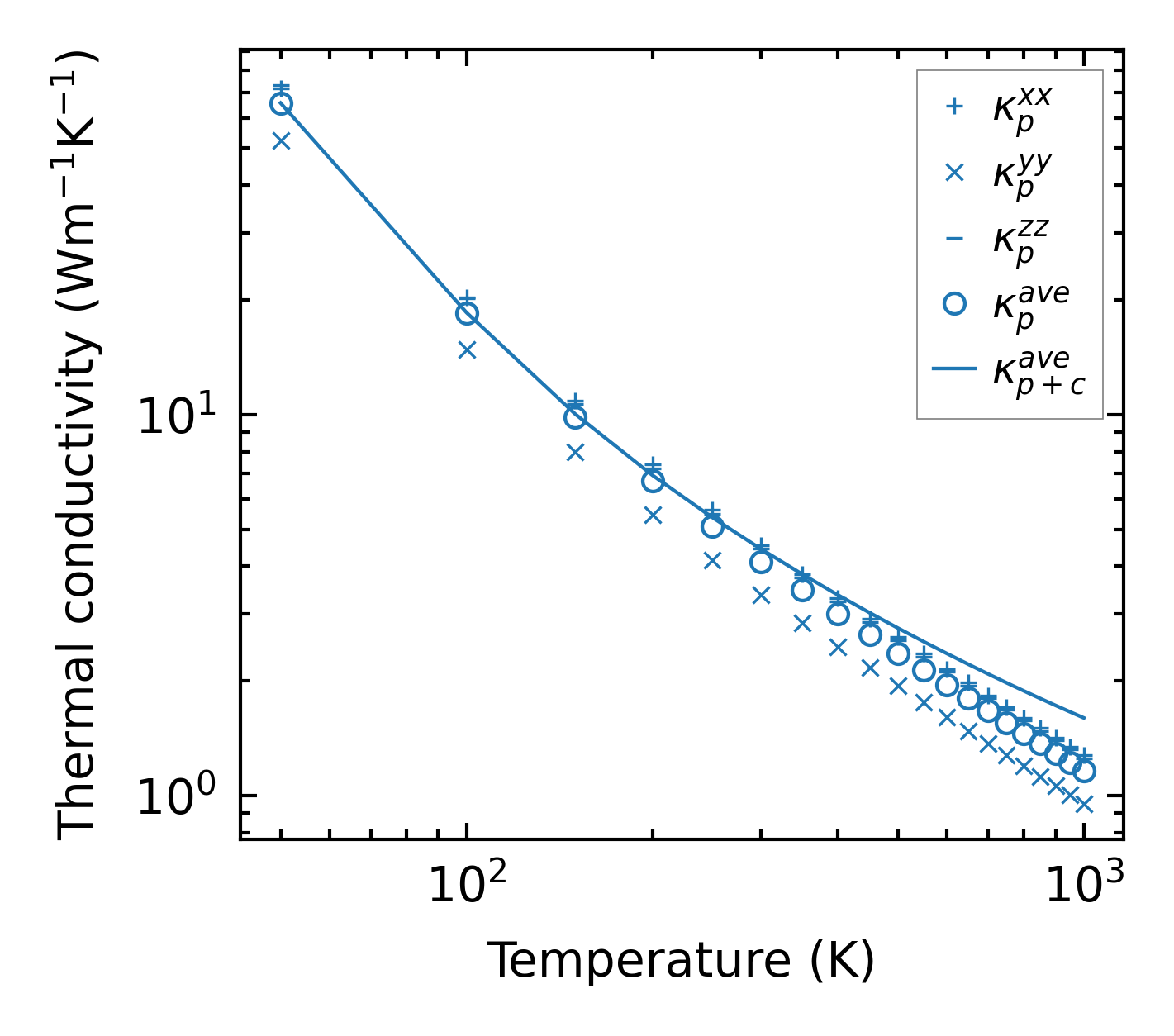
Summary

../../_images/fig_kappa1654.png

(a) Temperature-dependent lattice thermal conductivity

../../_images/fig_times2072.png

(b) Computation time