mp-9845/RbCaAs/anharm

Harmonic properties

../../_images/fig_bandos_pr1261.png

(a) Phonon dispersion with participation ratio and DOS

../../_images/fig_thermo1261.png

(b) Thermodynamic properties

Grüneisen parameters

../../_images/fig_gru_all776.png

(a) Grüneisen parameters

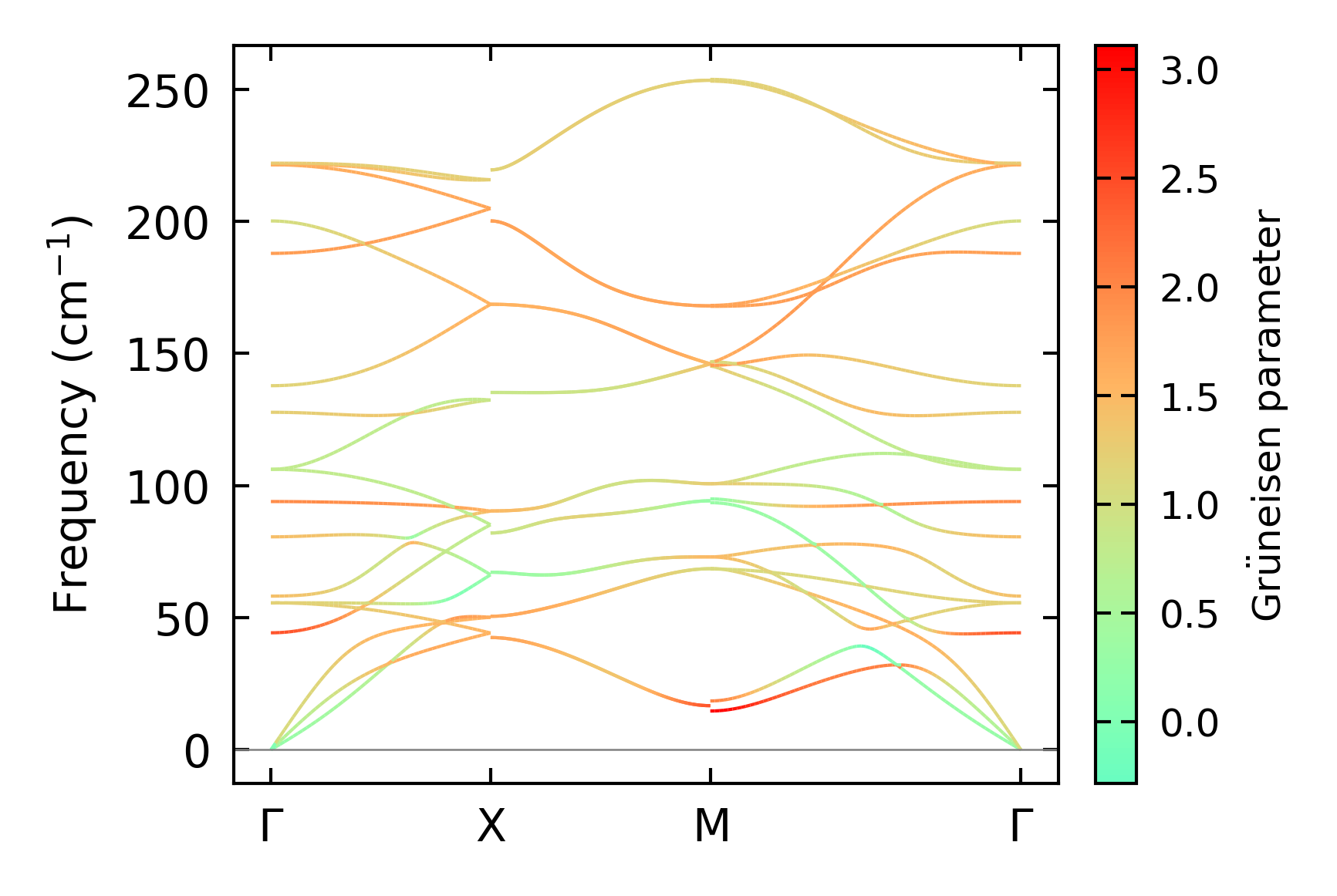
../../_images/fig_gruneisen776.png

(b) Phonon dispersion with Grüneisen parameters

Thermal conductivity

3-phonon (LASSO) — q-mesh: 14x14x9, supercell: 3x3x2

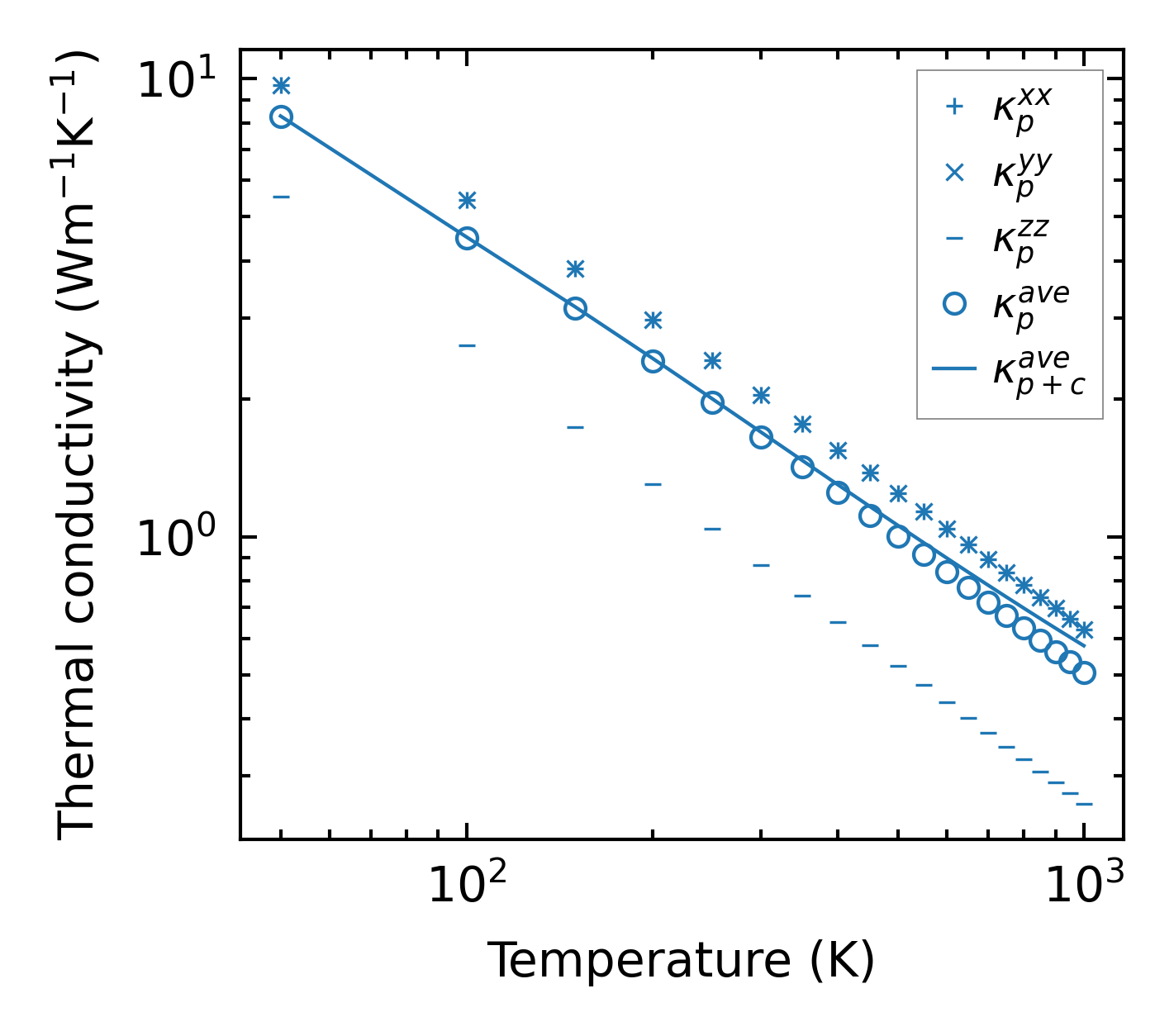
../../_images/fig_kappa1509.png

(a) Temperature-dependent lattice thermal conductivity

../../_images/fig_kappa_vs_grain_size784.png

(b) Peierls lattice thermal conductivity w.r.t grain size

Phonon lifetime and scattering rates

../../_images/fig_lifetime770.png

(a) Phonon lifetime due to phonon-phonon scattering

../../_images/fig_scat_rates769.png

(b) Phonon scattering rates

Cumulative and spectral thermal conductivity

../../_images/fig_cumu_frequency770.png

(a) Spectral and cumulative thermal conductivity w.r.t frequency

../../_images/fig_cumu_mfp770.png

(b) Spectral and cumulative thermal conductivity w.r.t MFP

Force constants

../../_images/fig_fc21127.png

(a) Force constants w.r.t atomic distance

Summary

../../_images/fig_kappa1510.png

(a) Temperature-dependent lattice thermal conductivity

../../_images/fig_times1887.png

(b) Computation time