mp-9082-2/CsSmS2/anharm

Equation of state

../../_images/fig_bm476.png

(a) Equation of state

Harmonic properties

../../_images/fig_bandos_pr1361.png

(a) Phonon dispersion with participation ratio and DOS

../../_images/fig_thermo1361.png

(b) Thermodynamic properties

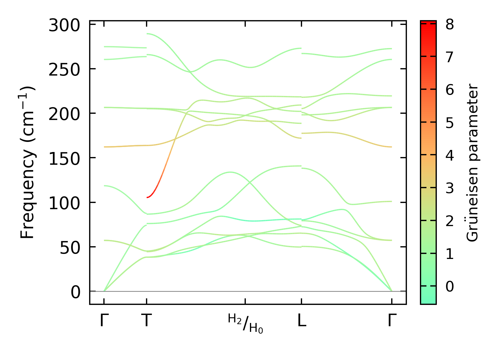
Grüneisen parameters

../../_images/fig_gru_all840.png

(a) Grüneisen parameters

../../_images/fig_gruneisen840.png

(b) Phonon dispersion with Grüneisen parameters

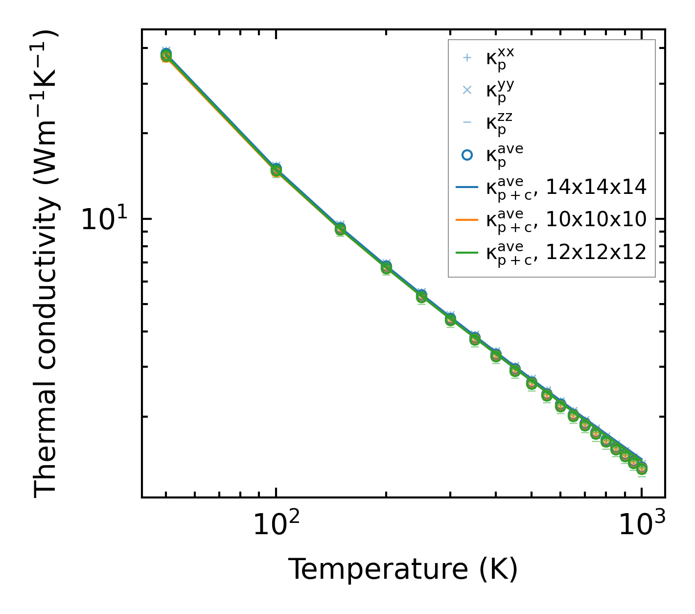
Thermal conductivity

3-phonon (LASSO) — q-mesh: 14x14x14, supercell: 3x3x1

../../_images/fig_kappa1632.png

(a) Temperature-dependent lattice thermal conductivity

../../_images/fig_kappa_vs_grain_size850.png

(b) Peierls lattice thermal conductivity w.r.t grain size

Phonon lifetime and scattering rates

../../_images/fig_lifetime834.png

(a) Phonon lifetime due to phonon-phonon scattering

../../_images/fig_scat_rates833.png

(b) Phonon scattering rates

Cumulative and spectral thermal conductivity

../../_images/fig_cumu_frequency834.png

(a) Spectral and cumulative thermal conductivity w.r.t frequency

../../_images/fig_cumu_mfp834.png

(b) Spectral and cumulative thermal conductivity w.r.t MFP

Force constants

../../_images/fig_fc21216.png

(a) Force constants w.r.t atomic distance

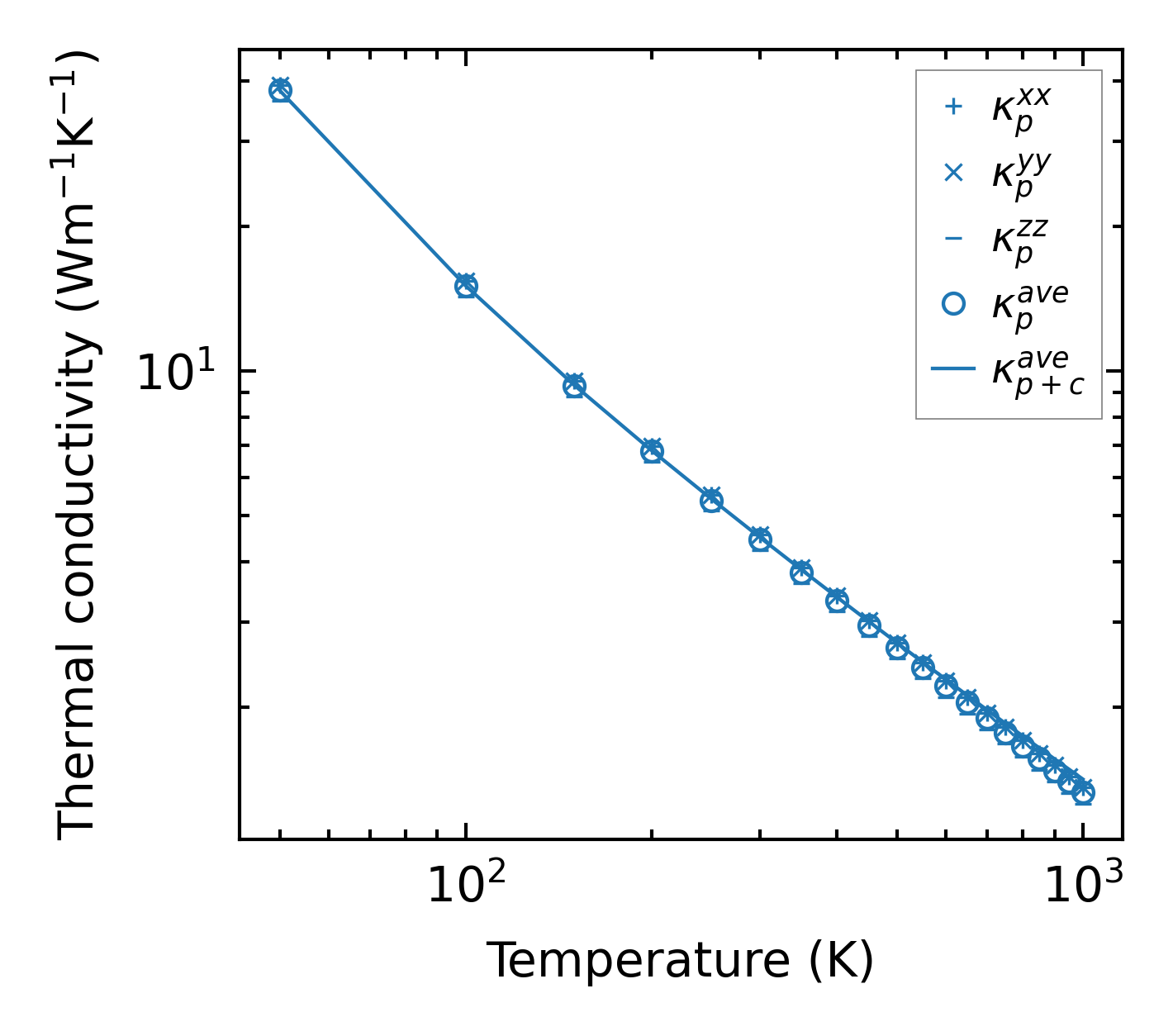
Summary

../../_images/fig_kappa1633.png

(a) Temperature-dependent lattice thermal conductivity

../../_images/fig_times2048.png

(b) Computation time