mp-9462/CsTeSe3/anharm

Harmonic properties

../../_images/fig_bandos1372.png

(a) Phonon dispersion and DOS

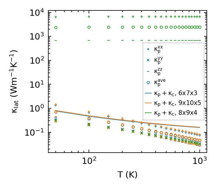
Thermal conductivity

Summary

../../_images/fig_kappa1762.png

(a) Temperature-dependent lattice thermal conductivity

../../_images/fig_times2205.png

(b) Computation time