mp-9672/K2NiP2/anharm

Equation of state

../../_images/fig_bm398.png

(a) Equation of state

Harmonic properties

../../_images/fig_bandos_pr1184.png

(a) Phonon dispersion with participation ratio and DOS

../../_images/fig_thermo1184.png

(b) Thermodynamic properties

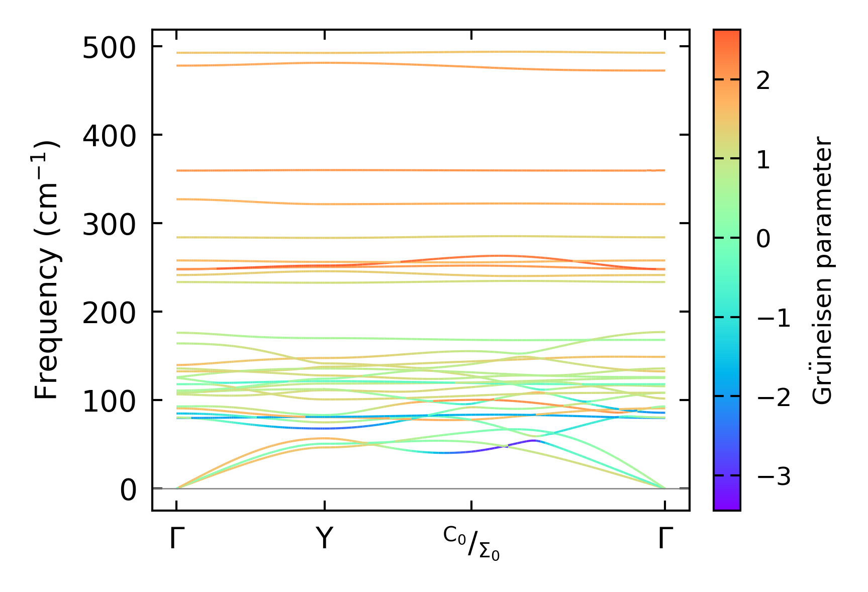
Grüneisen parameters

../../_images/fig_gru_all735.png

(a) Grüneisen parameters

../../_images/fig_gruneisen735.png

(b) Phonon dispersion with Grüneisen parameters

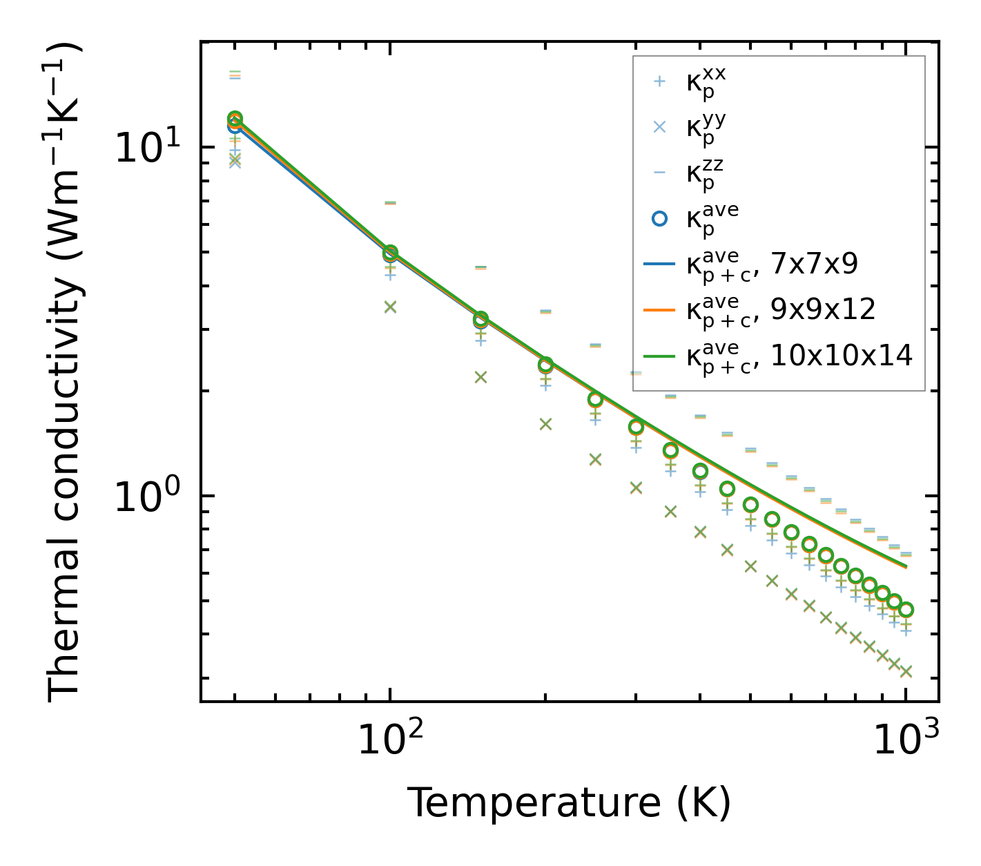
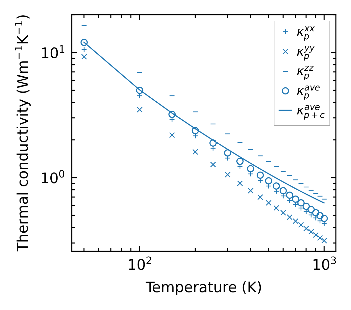
Thermal conductivity

3-phonon (LASSO) — q-mesh: 10x10x14, supercell: 2x1x3

../../_images/fig_kappa1435.png

(a) Temperature-dependent lattice thermal conductivity

../../_images/fig_kappa_vs_grain_size744.png

(b) Peierls lattice thermal conductivity w.r.t grain size

Phonon lifetime and scattering rates

../../_images/fig_lifetime732.png

(a) Phonon lifetime due to phonon-phonon scattering

../../_images/fig_scat_rates731.png

(b) Phonon scattering rates

Cumulative and spectral thermal conductivity

../../_images/fig_cumu_frequency732.png

(a) Spectral and cumulative thermal conductivity w.r.t frequency

../../_images/fig_cumu_mfp732.png

(b) Spectral and cumulative thermal conductivity w.r.t MFP

Force constants

../../_images/fig_fc21050.png

(a) Force constants w.r.t atomic distance

Summary

../../_images/fig_kappa1436.png

(a) Temperature-dependent lattice thermal conductivity

../../_images/fig_times1776.png

(b) Computation time