mp-9364-2/RbSmS2/anharm

Equation of state

../../_images/fig_bm522.png

(a) Equation of state

Harmonic properties

../../_images/fig_bandos_pr1455.png

(a) Phonon dispersion with participation ratio and DOS

../../_images/fig_thermo1455.png

(b) Thermodynamic properties

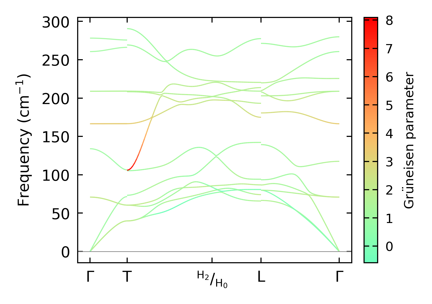
Grüneisen parameters

../../_images/fig_gru_all893.png

(a) Grüneisen parameters

../../_images/fig_gruneisen893.png

(b) Phonon dispersion with Grüneisen parameters

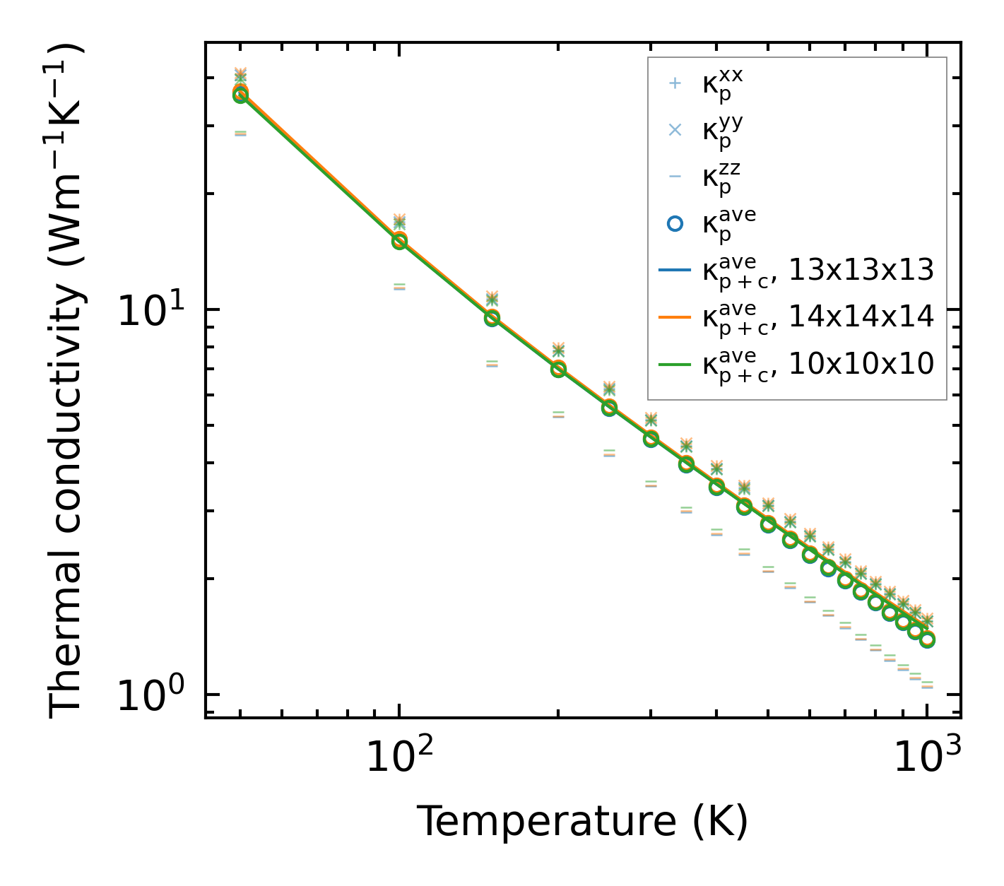
Thermal conductivity

3-phonon (LASSO) — q-mesh: 14x14x14, supercell: 3x3x1

../../_images/fig_kappa1733.png

(a) Temperature-dependent lattice thermal conductivity

../../_images/fig_kappa_vs_grain_size903.png

(b) Peierls lattice thermal conductivity w.r.t grain size

Phonon lifetime and scattering rates

../../_images/fig_lifetime886.png

(a) Phonon lifetime due to phonon-phonon scattering

../../_images/fig_scat_rates885.png

(b) Phonon scattering rates

Cumulative and spectral thermal conductivity

../../_images/fig_cumu_frequency886.png

(a) Spectral and cumulative thermal conductivity w.r.t frequency

../../_images/fig_cumu_mfp886.png

(b) Spectral and cumulative thermal conductivity w.r.t MFP

Force constants

../../_images/fig_fc21307.png

(a) Force constants w.r.t atomic distance

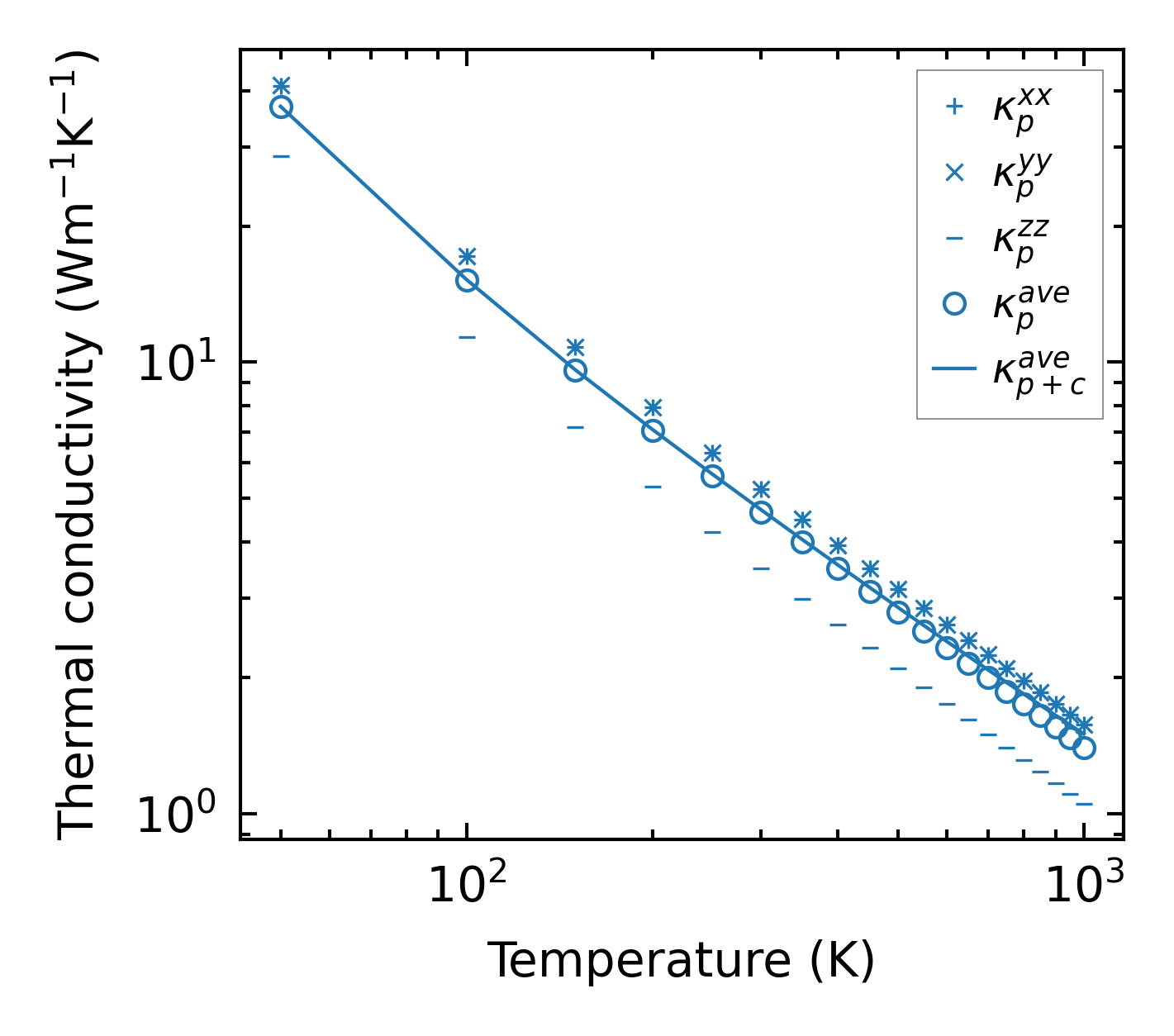
Summary

../../_images/fig_kappa1734.png

(a) Temperature-dependent lattice thermal conductivity

../../_images/fig_times2173.png

(b) Computation time