mp-9692-2/K2GeSe3/anharm

Equation of state

../../_images/fig_bm403.png

(a) Equation of state

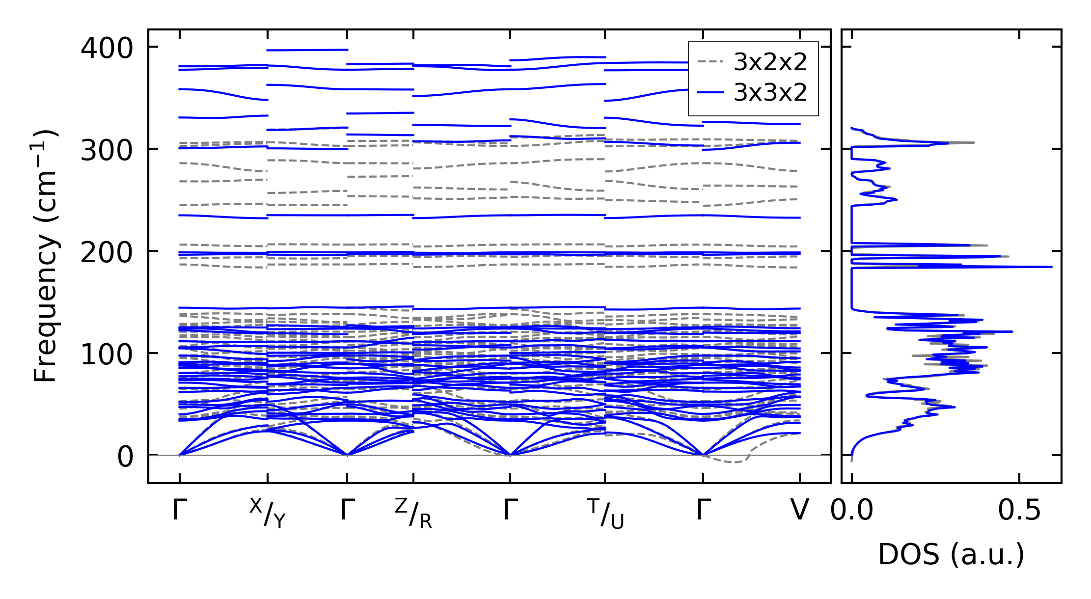
Harmonic properties

../../_images/fig_bandos_pr1190.png

(a) Phonon dispersion with participation ratio and DOS

../../_images/fig_bandos1105.png

(b) Phonon dispersion and DOS

../../_images/fig_thermo1190.png

(c) Thermodynamic properties

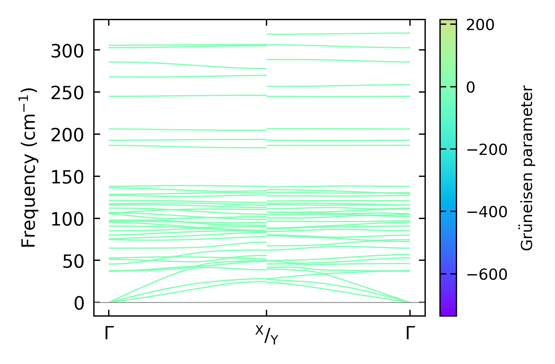
Grüneisen parameters

../../_images/fig_gru_all741.png

(a) Grüneisen parameters

../../_images/fig_gruneisen741.png

(b) Phonon dispersion with Grüneisen parameters

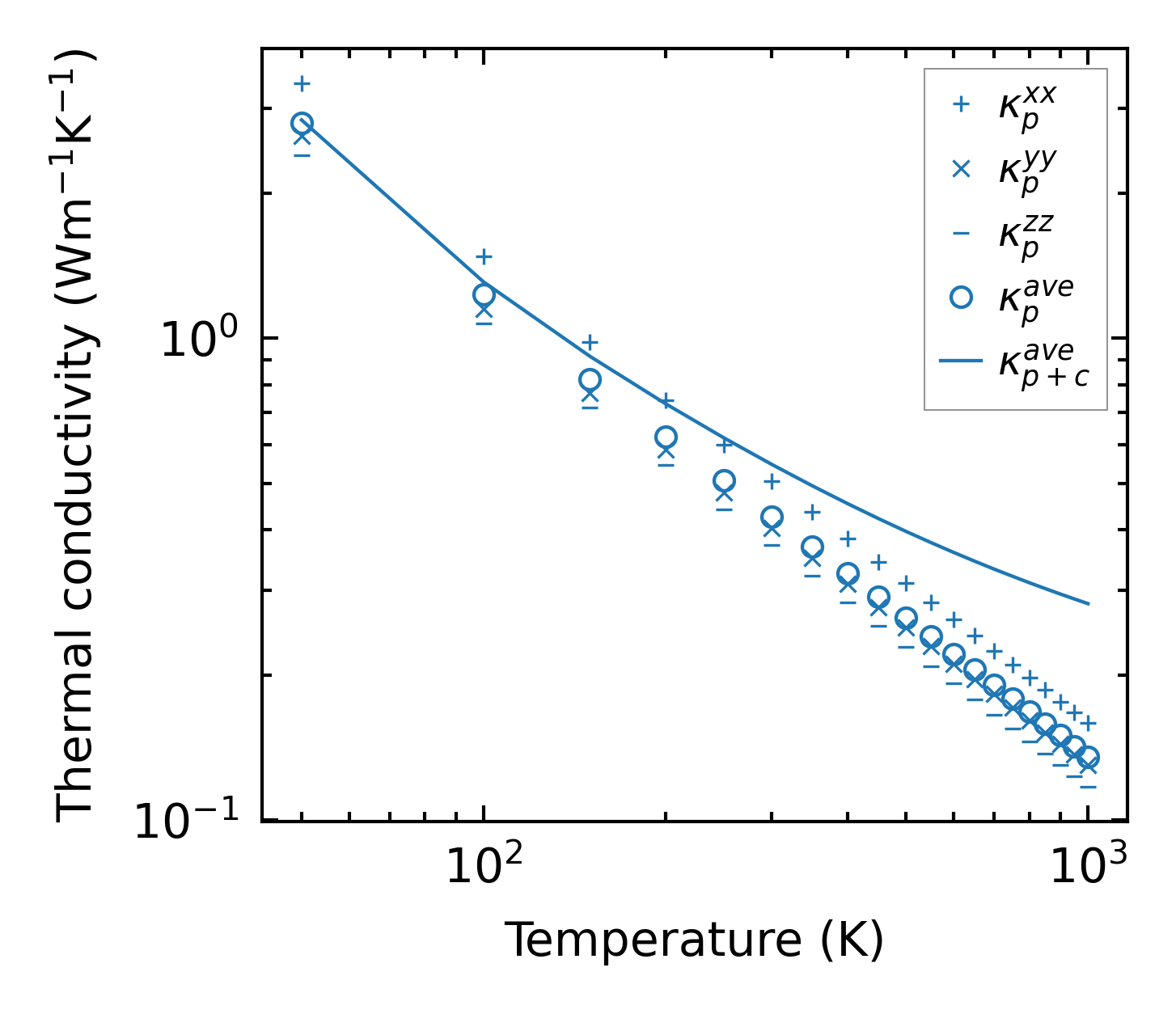
Thermal conductivity

3-phonon (LASSO), supercell 3x3x2 — q-mesh: 11x10x8, supercell: 3x3x2

../../_images/fig_kappa1447.png

(a) Temperature-dependent lattice thermal conductivity

../../_images/fig_kappa_vs_grain_size750.png

(b) Peierls lattice thermal conductivity w.r.t grain size

Phonon lifetime and scattering rates

../../_images/fig_lifetime737.png

(a) Phonon lifetime due to phonon-phonon scattering

../../_images/fig_scat_rates736.png

(b) Phonon scattering rates

Cumulative and spectral thermal conductivity

../../_images/fig_cumu_frequency737.png

(a) Spectral and cumulative thermal conductivity w.r.t frequency

../../_images/fig_cumu_mfp737.png

(b) Spectral and cumulative thermal conductivity w.r.t MFP

Force constants

../../_images/fig_fc21056.png

(a) Force constants w.r.t atomic distance

Summary

../../_images/fig_times1788.png

(a) Computation time