mp-9702/Sr3BPO3/anharm

Harmonic properties

../../_images/fig_bandos_pr1193.png

(a) Phonon dispersion with participation ratio and DOS

../../_images/fig_thermo1193.png

(b) Thermodynamic properties

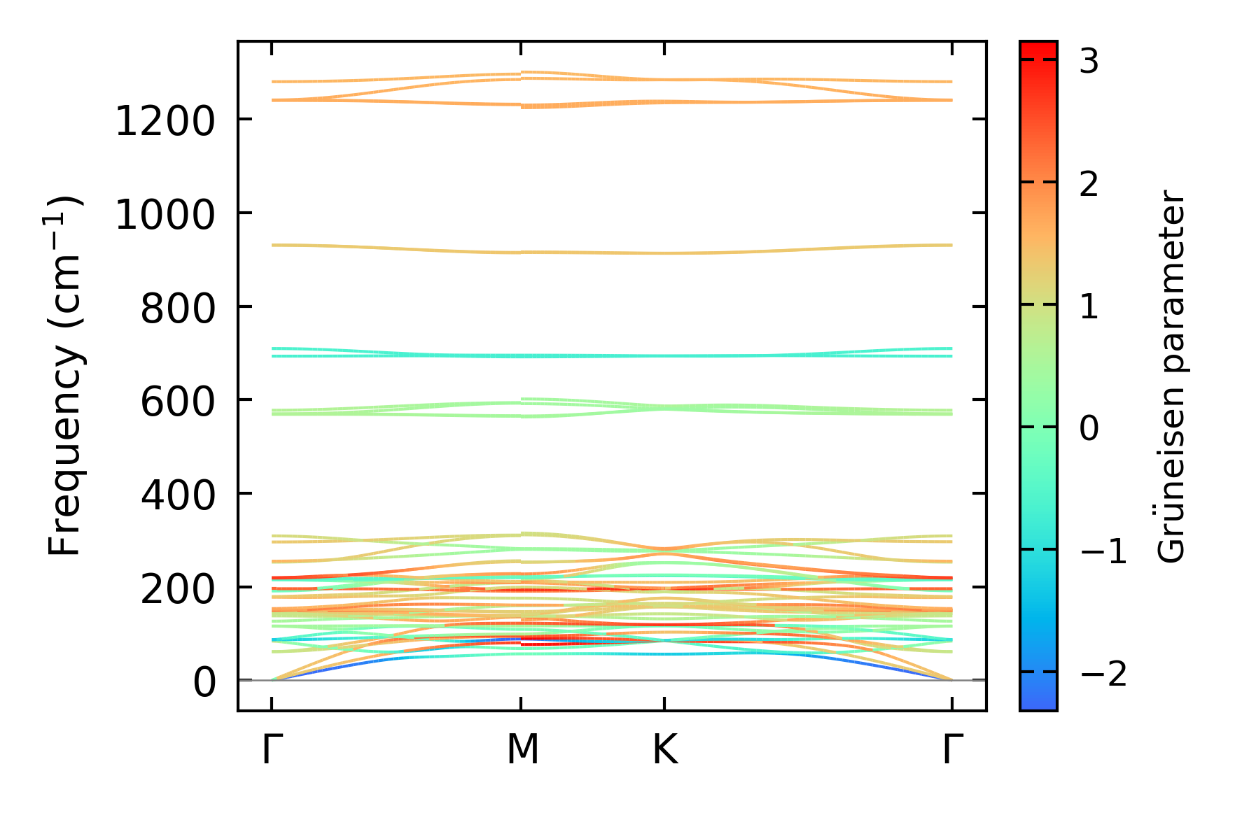
Grüneisen parameters

../../_images/fig_gru_all744.png

(a) Grüneisen parameters

../../_images/fig_gruneisen744.png

(b) Phonon dispersion with Grüneisen parameters

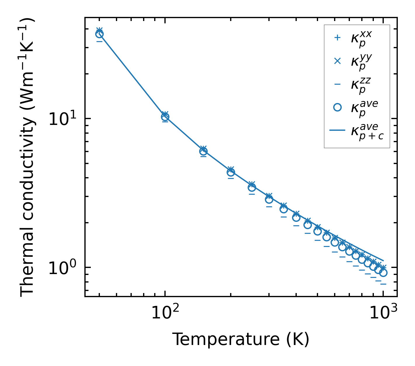
Thermal conductivity

3-phonon (LASSO) — q-mesh: 14x14x5, supercell: 3x3x1

../../_images/fig_kappa1450.png

(a) Temperature-dependent lattice thermal conductivity

../../_images/fig_kappa_vs_grain_size753.png

(b) Peierls lattice thermal conductivity w.r.t grain size

Phonon lifetime and scattering rates

../../_images/fig_lifetime740.png

(a) Phonon lifetime due to phonon-phonon scattering

../../_images/fig_scat_rates739.png

(b) Phonon scattering rates

Cumulative and spectral thermal conductivity

../../_images/fig_cumu_frequency740.png

(a) Spectral and cumulative thermal conductivity w.r.t frequency

../../_images/fig_cumu_mfp740.png

(b) Spectral and cumulative thermal conductivity w.r.t MFP

Force constants

../../_images/fig_fc21059.png

(a) Force constants w.r.t atomic distance

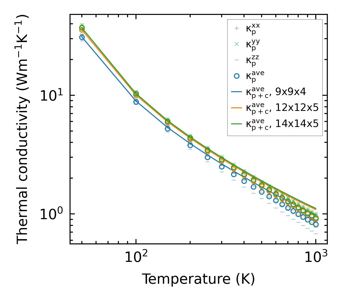
Summary

../../_images/fig_kappa1451.png

(a) Temperature-dependent lattice thermal conductivity

../../_images/fig_times1795.png

(b) Computation time