mp-9579/AlTlSe2/anharm

Harmonic properties

../../_images/fig_bandos_pr1160.png

(a) Phonon dispersion with participation ratio and DOS

../../_images/fig_thermo1160.png

(b) Thermodynamic properties

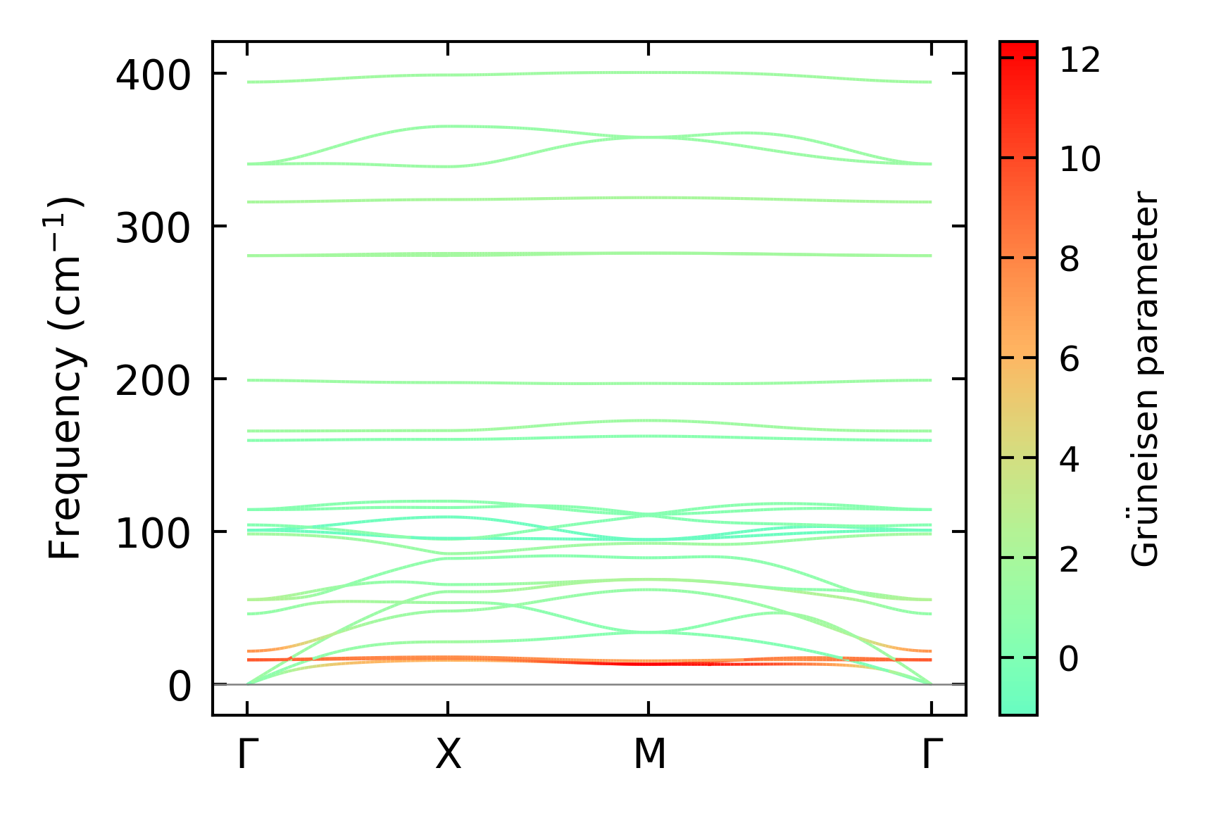
Grüneisen parameters

../../_images/fig_gru_all715.png

(a) Grüneisen parameters

../../_images/fig_gruneisen715.png

(b) Phonon dispersion with Grüneisen parameters

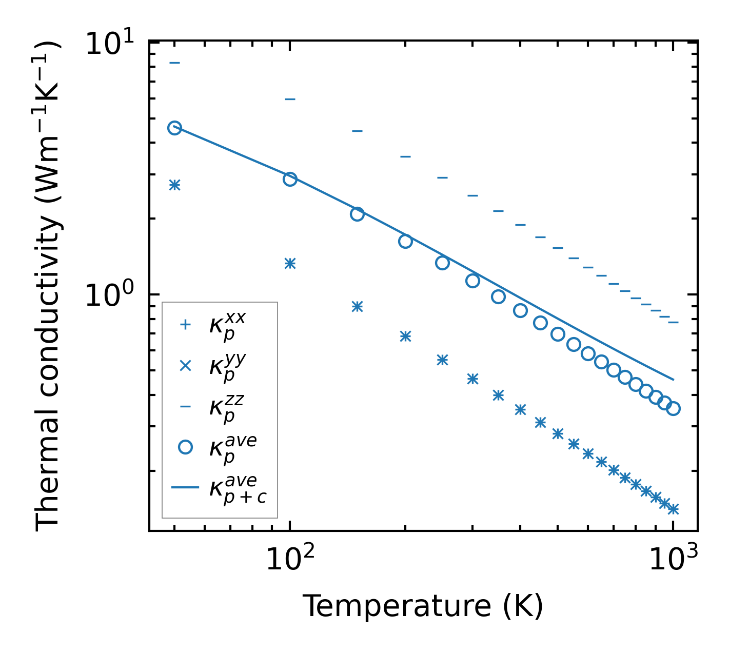
Thermal conductivity

3-phonon (LASSO) — q-mesh: 12x12x12, supercell: 2x2x2

../../_images/fig_kappa1396.png

(a) Temperature-dependent lattice thermal conductivity

../../_images/fig_kappa_vs_grain_size724.png

(b) Peierls lattice thermal conductivity w.r.t grain size

Phonon lifetime and scattering rates

../../_images/fig_lifetime713.png

(a) Phonon lifetime due to phonon-phonon scattering

../../_images/fig_scat_rates712.png

(b) Phonon scattering rates

Cumulative and spectral thermal conductivity

../../_images/fig_cumu_frequency713.png

(a) Spectral and cumulative thermal conductivity w.r.t frequency

../../_images/fig_cumu_mfp713.png

(b) Spectral and cumulative thermal conductivity w.r.t MFP

Force constants

../../_images/fig_fc21026.png

(a) Force constants w.r.t atomic distance

Summary

../../_images/fig_kappa1397.png

(a) Temperature-dependent lattice thermal conductivity

../../_images/fig_times1738.png

(b) Computation time