mp-9567/BaMg2Sb2/anharm

Harmonic properties

../../_images/fig_bandos_pr1153.png

(a) Phonon dispersion with participation ratio and DOS

../../_images/fig_thermo1153.png

(b) Thermodynamic properties

Grüneisen parameters

../../_images/fig_gru_all708.png

(a) Grüneisen parameters

../../_images/fig_gruneisen708.png

(b) Phonon dispersion with Grüneisen parameters

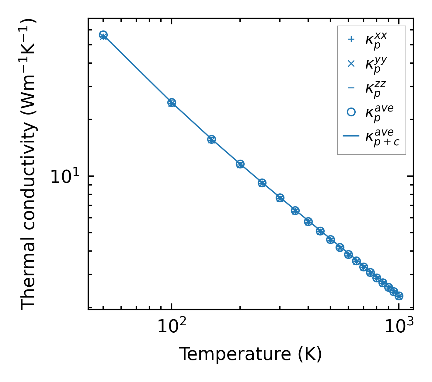
Thermal conductivity

3-phonon (LASSO) — q-mesh: 15x15x9, supercell: 3x3x2

../../_images/fig_kappa1382.png

(a) Temperature-dependent lattice thermal conductivity

../../_images/fig_kappa_vs_grain_size717.png

(b) Peierls lattice thermal conductivity w.r.t grain size

Phonon lifetime and scattering rates

../../_images/fig_lifetime706.png

(a) Phonon lifetime due to phonon-phonon scattering

../../_images/fig_scat_rates705.png

(b) Phonon scattering rates

Cumulative and spectral thermal conductivity

../../_images/fig_cumu_frequency706.png

(a) Spectral and cumulative thermal conductivity w.r.t frequency

../../_images/fig_cumu_mfp706.png

(b) Spectral and cumulative thermal conductivity w.r.t MFP

Force constants

../../_images/fig_fc21019.png

(a) Force constants w.r.t atomic distance

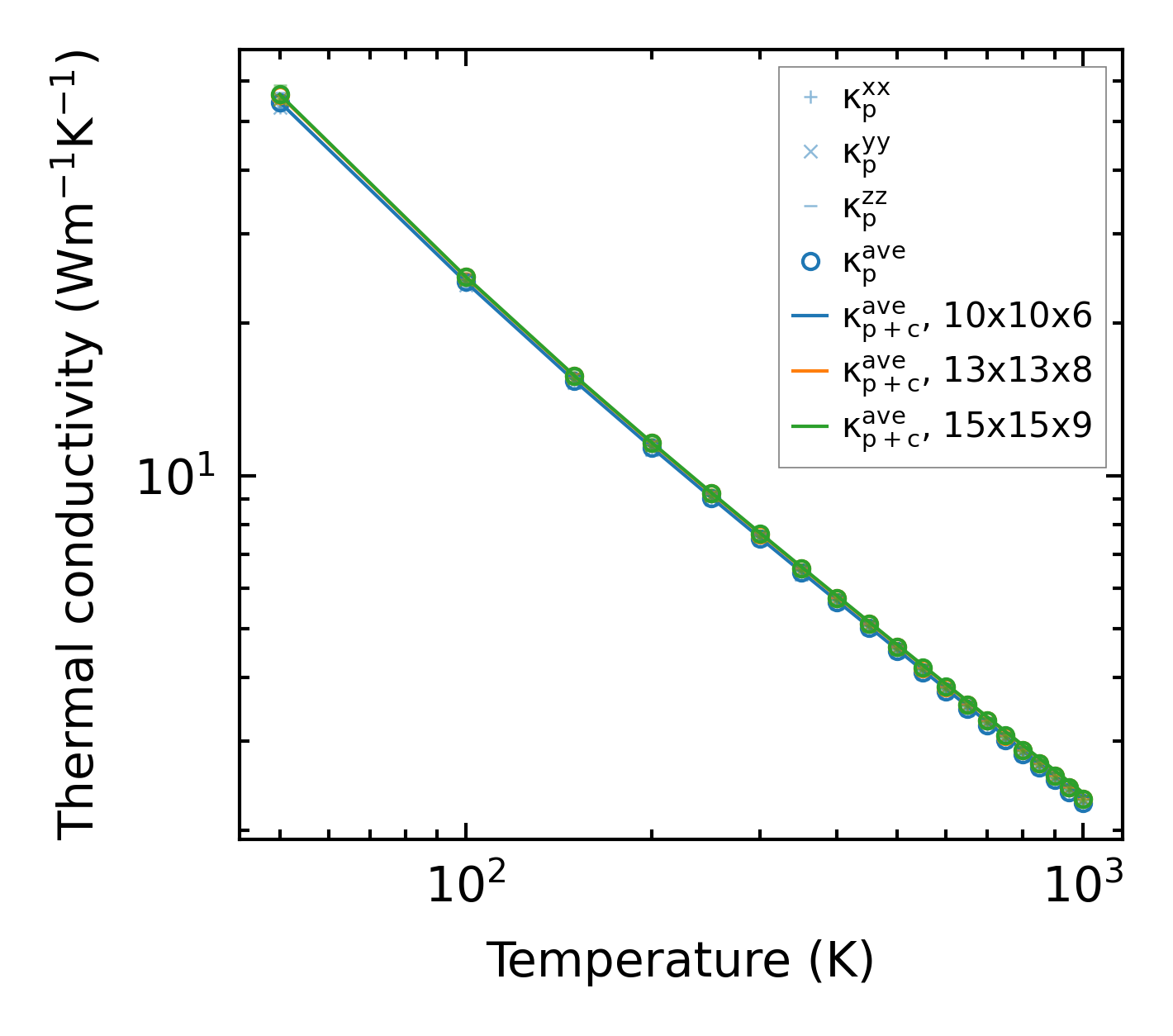
Summary

../../_images/fig_kappa1383.png

(a) Temperature-dependent lattice thermal conductivity

../../_images/fig_times1729.png

(b) Computation time