mp-9754-2/Tl2Cr3O12/anharm

Equation of state

../../_images/fig_bm416.png

(a) Equation of state

Harmonic properties

../../_images/fig_bandos_pr1222.png

(a) Phonon dispersion with participation ratio and DOS

../../_images/fig_bandos1129.png

(b) Phonon dispersion and DOS

../../_images/fig_thermo1222.png

(c) Thermodynamic properties

Grüneisen parameters

../../_images/fig_gru_all760.png

(a) Grüneisen parameters

../../_images/fig_gruneisen760.png

(b) Phonon dispersion with Grüneisen parameters

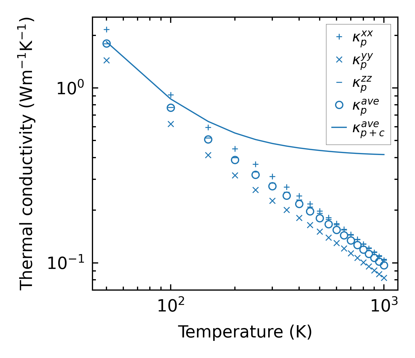
Thermal conductivity

3-phonon (LASSO), supercell 1x2x2 — q-mesh: 5x8x8, supercell: 1x2x2

../../_images/fig_kappa1479.png

(a) Temperature-dependent lattice thermal conductivity

../../_images/fig_kappa_vs_grain_size768.png

(b) Peierls lattice thermal conductivity w.r.t grain size

Phonon lifetime and scattering rates

../../_images/fig_lifetime754.png

(a) Phonon lifetime due to phonon-phonon scattering

../../_images/fig_scat_rates753.png

(b) Phonon scattering rates

Cumulative and spectral thermal conductivity

../../_images/fig_cumu_frequency754.png

(a) Spectral and cumulative thermal conductivity w.r.t frequency

../../_images/fig_cumu_mfp754.png

(b) Spectral and cumulative thermal conductivity w.r.t MFP

Force constants

../../_images/fig_fc21088.png

(a) Force constants w.r.t atomic distance

Summary

../../_images/fig_times1827.png

(a) Computation time