mp-9673-2/K2NiAs2/anharm

Equation of state

../../_images/fig_bm399.png

(a) Equation of state

Harmonic properties

../../_images/fig_bandos_pr1186.png

(a) Phonon dispersion with participation ratio and DOS

../../_images/fig_bandos1099.png

(b) Phonon dispersion and DOS

../../_images/fig_thermo1186.png

(c) Thermodynamic properties

Grüneisen parameters

../../_images/fig_gru_all737.png

(a) Grüneisen parameters

../../_images/fig_gruneisen737.png

(b) Phonon dispersion with Grüneisen parameters

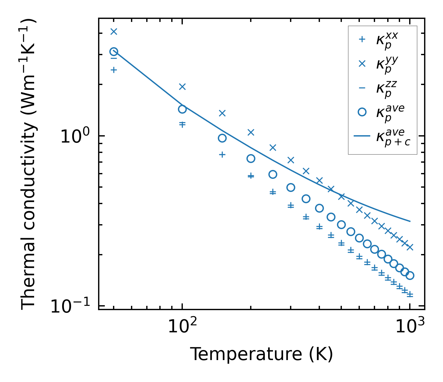
Thermal conductivity

3-phonon (LASSO) — q-mesh: 11x13x9, supercell: 2x3x2

../../_images/fig_kappa1439.png

(a) Temperature-dependent lattice thermal conductivity

../../_images/fig_kappa_vs_grain_size746.png

(b) Peierls lattice thermal conductivity w.r.t grain size

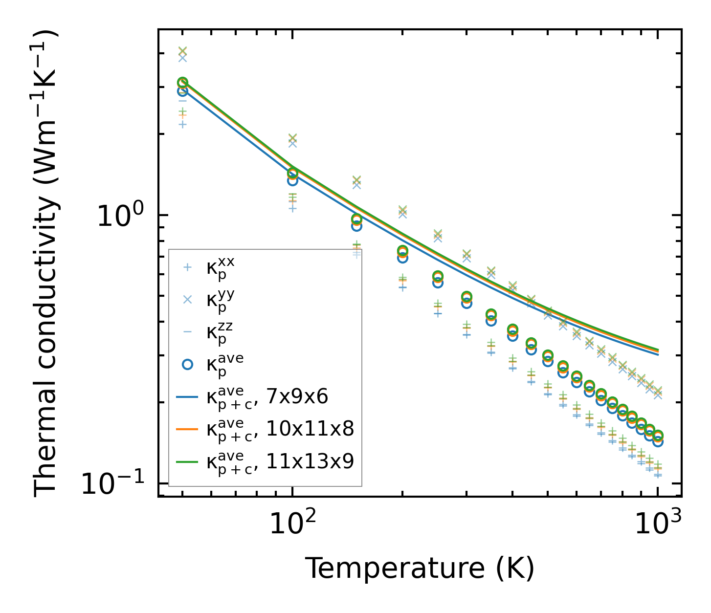
3-phonon (LASSO), supercell 3x3x2 — q-mesh: 11x13x9, supercell: 3x3x2

../../_images/fig_kappa1440.png

(a) Temperature-dependent lattice thermal conductivity

../../_images/fig_kappa_vs_grain_size747.png

(b) Peierls lattice thermal conductivity w.r.t grain size

Phonon lifetime and scattering rates

../../_images/fig_lifetime734.png

(a) Phonon lifetime due to phonon-phonon scattering

../../_images/fig_scat_rates733.png

(b) Phonon scattering rates

Cumulative and spectral thermal conductivity

../../_images/fig_cumu_frequency734.png

(a) Spectral and cumulative thermal conductivity w.r.t frequency

../../_images/fig_cumu_mfp734.png

(b) Spectral and cumulative thermal conductivity w.r.t MFP

Force constants

../../_images/fig_fc21052.png

(a) Force constants w.r.t atomic distance

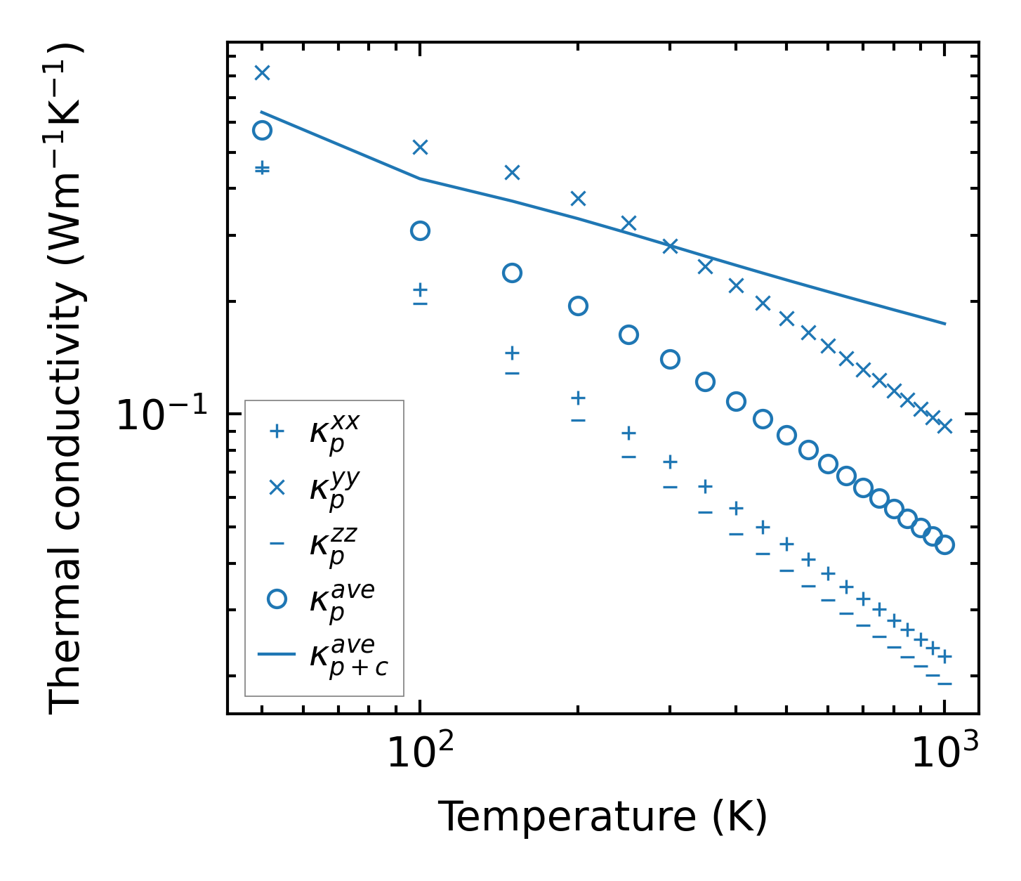
Summary

../../_images/fig_kappa1441.png

(a) Temperature-dependent lattice thermal conductivity

../../_images/fig_times1779.png

(b) Computation time