mp-9523/RbTh2Se6/anharm

Harmonic properties

../../_images/fig_bandos_pr1144.png

(a) Phonon dispersion with participation ratio and DOS

../../_images/fig_thermo1144.png

(b) Thermodynamic properties

Grüneisen parameters

../../_images/fig_gru_all701.png

(a) Grüneisen parameters

../../_images/fig_gruneisen701.png

(b) Phonon dispersion with Grüneisen parameters

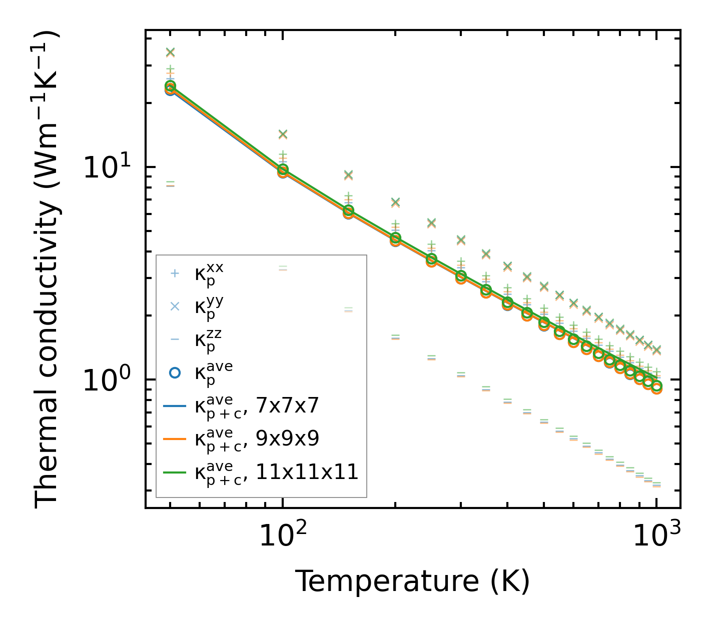
Thermal conductivity

3-phonon (LASSO) — q-mesh: 11x11x11, supercell: 3x2x1

../../_images/fig_kappa1368.png

(a) Temperature-dependent lattice thermal conductivity

../../_images/fig_kappa_vs_grain_size710.png

(b) Peierls lattice thermal conductivity w.r.t grain size

Phonon lifetime and scattering rates

../../_images/fig_lifetime699.png

(a) Phonon lifetime due to phonon-phonon scattering

../../_images/fig_scat_rates698.png

(b) Phonon scattering rates

Cumulative and spectral thermal conductivity

../../_images/fig_cumu_frequency699.png

(a) Spectral and cumulative thermal conductivity w.r.t frequency

../../_images/fig_cumu_mfp699.png

(b) Spectral and cumulative thermal conductivity w.r.t MFP

Force constants

../../_images/fig_fc21010.png

(a) Force constants w.r.t atomic distance

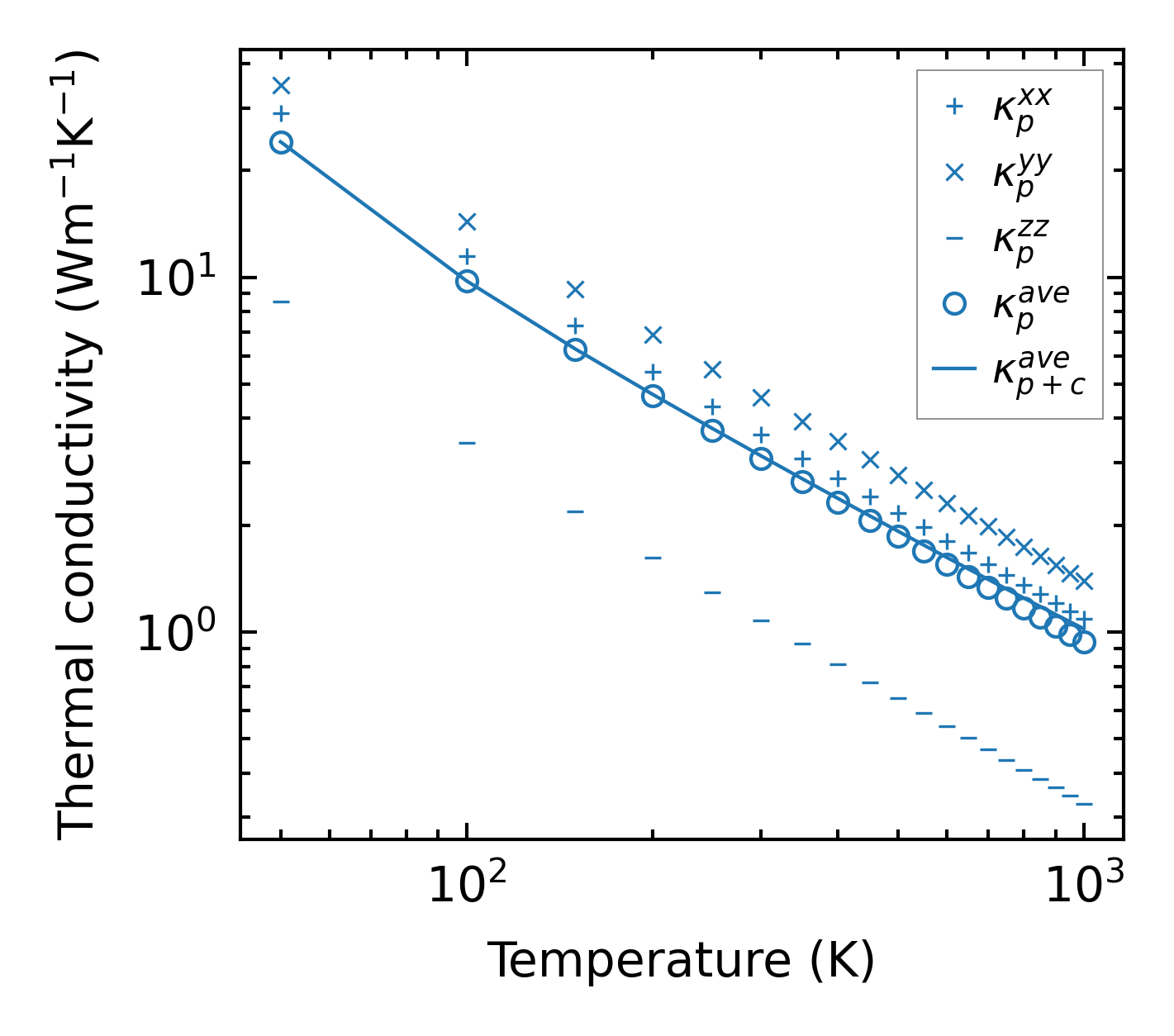
Summary

../../_images/fig_kappa1369.png

(a) Temperature-dependent lattice thermal conductivity

../../_images/fig_times1720.png

(b) Computation time