mp-9143-2/LiPF6/anharm

Equation of state

../../_images/fig_bm480.png

(a) Equation of state

Harmonic properties

../../_images/fig_bandos_pr1373.png

(a) Phonon dispersion with participation ratio and DOS

../../_images/fig_thermo1373.png

(b) Thermodynamic properties

Grüneisen parameters

../../_images/fig_gru_all849.png

(a) Grüneisen parameters

../../_images/fig_gruneisen849.png

(b) Phonon dispersion with Grüneisen parameters

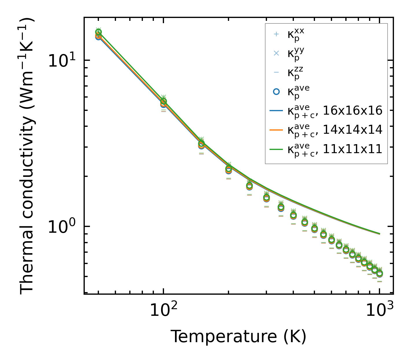
Thermal conductivity

3-phonon (LASSO) — q-mesh: 16x16x16, supercell: 2x2x1

../../_images/fig_kappa1649.png

(a) Temperature-dependent lattice thermal conductivity

../../_images/fig_kappa_vs_grain_size859.png

(b) Peierls lattice thermal conductivity w.r.t grain size

Phonon lifetime and scattering rates

../../_images/fig_lifetime843.png

(a) Phonon lifetime due to phonon-phonon scattering

../../_images/fig_scat_rates842.png

(b) Phonon scattering rates

Cumulative and spectral thermal conductivity

../../_images/fig_cumu_frequency843.png

(a) Spectral and cumulative thermal conductivity w.r.t frequency

../../_images/fig_cumu_mfp843.png

(b) Spectral and cumulative thermal conductivity w.r.t MFP

Force constants

../../_images/fig_fc21227.png

(a) Force constants w.r.t atomic distance

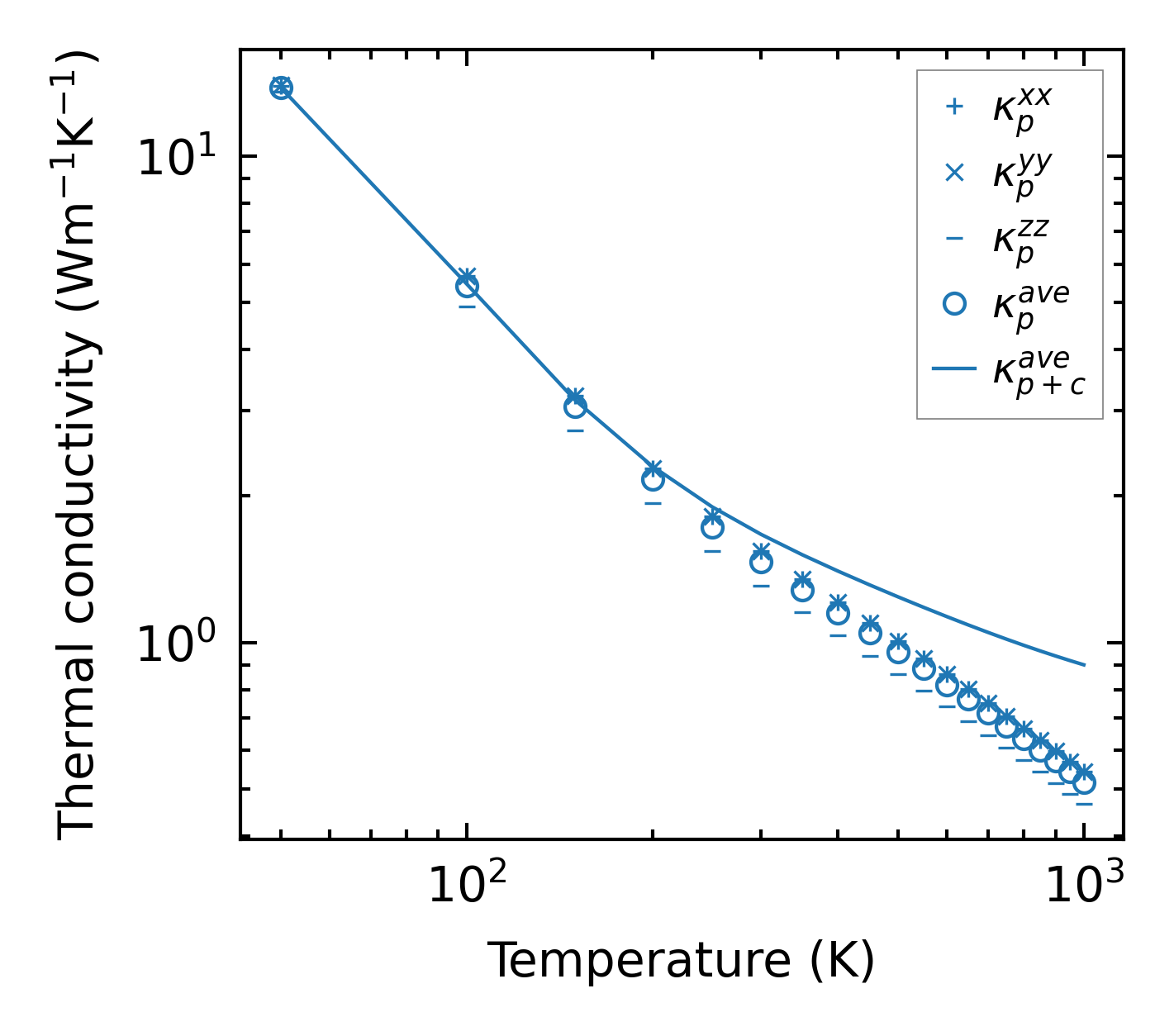
Summary

../../_images/fig_kappa1650.png

(a) Temperature-dependent lattice thermal conductivity

../../_images/fig_times2064.png

(b) Computation time