mp-9722/Na2LiGaAs2/anharm

Harmonic properties

../../_images/fig_bandos_pr1205.png

(a) Phonon dispersion with participation ratio and DOS

../../_images/fig_thermo1205.png

(b) Thermodynamic properties

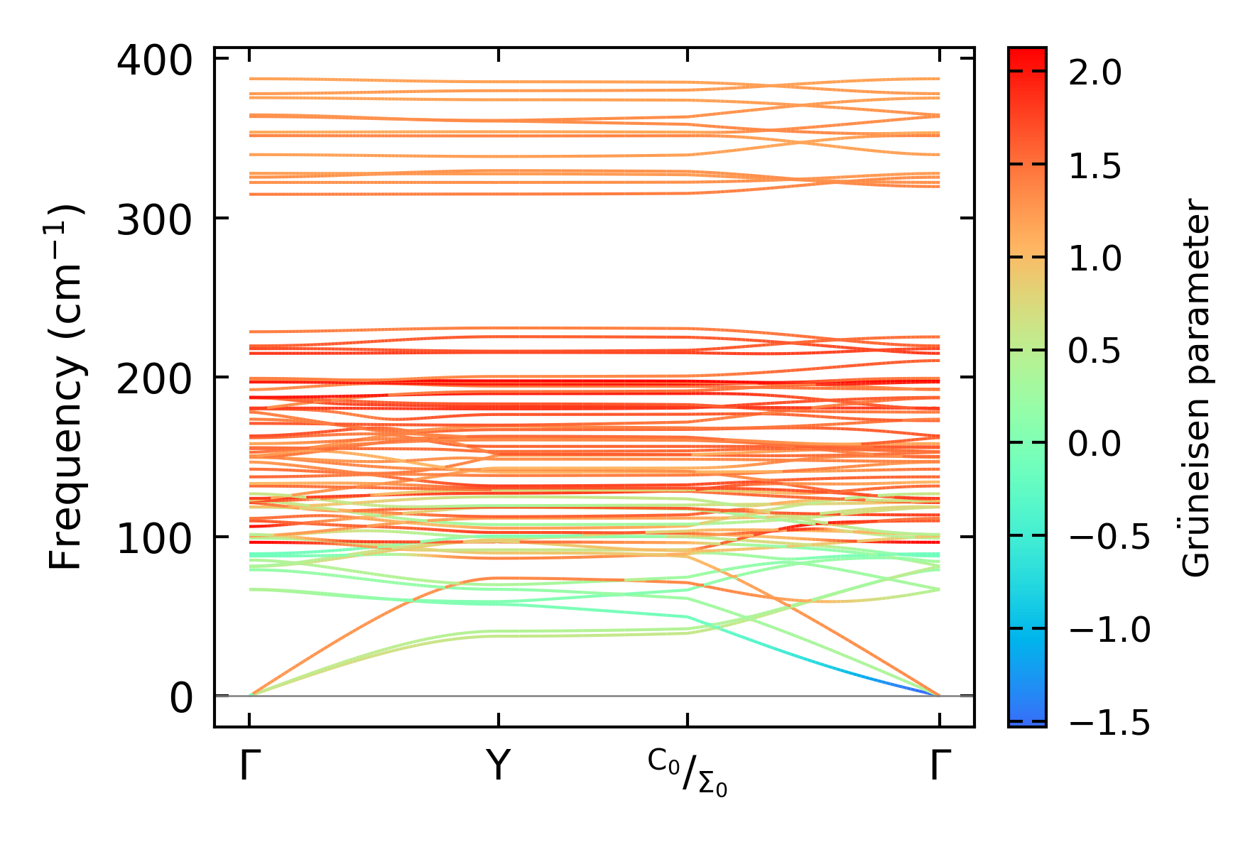
Grüneisen parameters

../../_images/fig_gru_all750.png

(a) Grüneisen parameters

../../_images/fig_gruneisen750.png

(b) Phonon dispersion with Grüneisen parameters

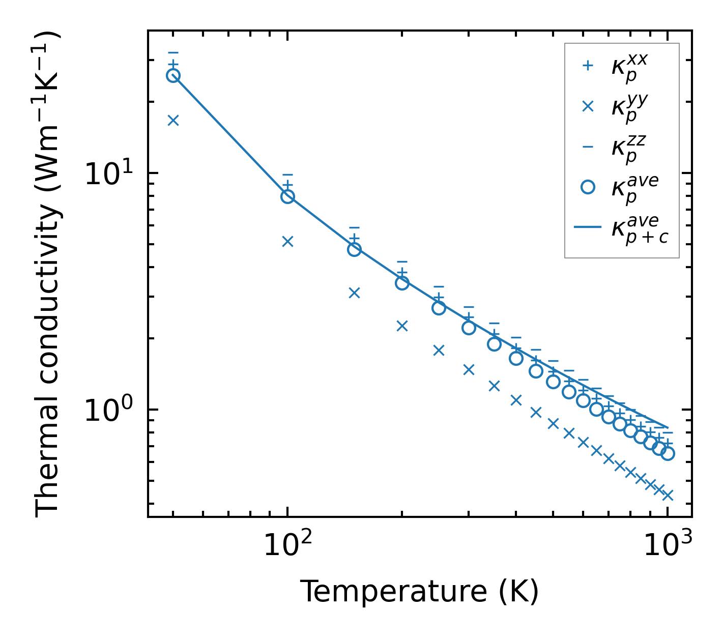
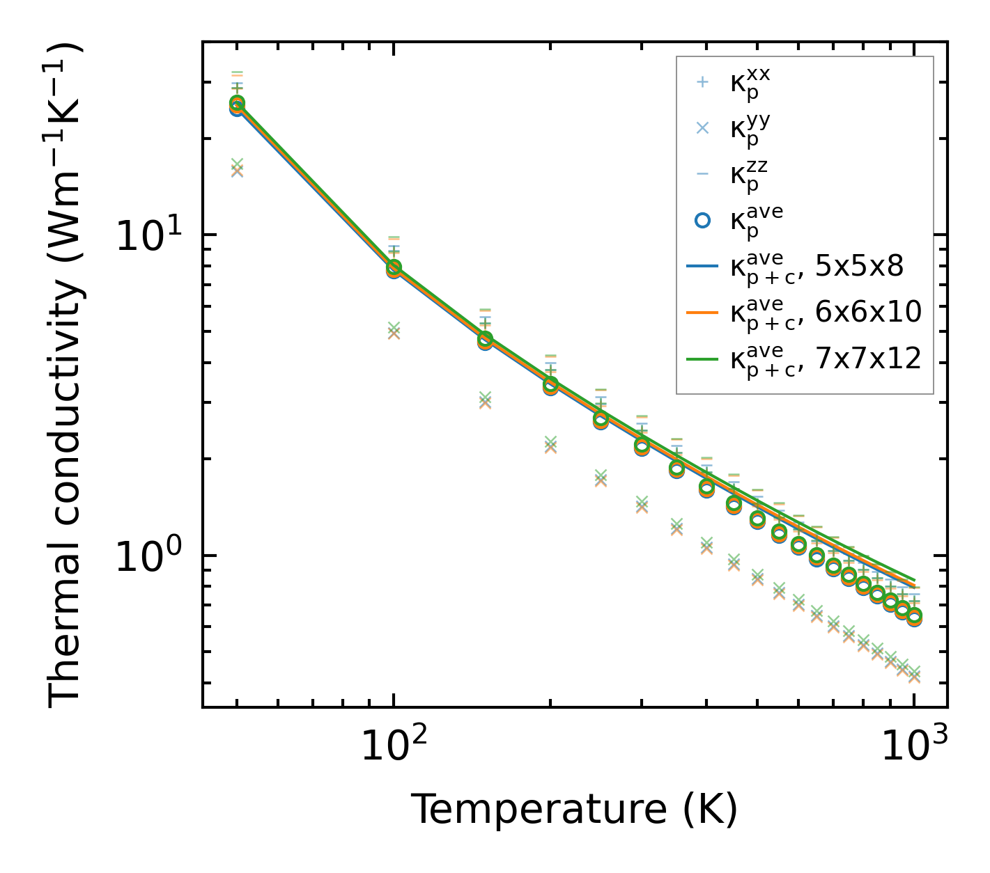
Thermal conductivity

3-phonon (LASSO) — q-mesh: 7x7x12, supercell: 1x1x3

../../_images/fig_kappa1460.png

(a) Temperature-dependent lattice thermal conductivity

../../_images/fig_kappa_vs_grain_size758.png

(b) Peierls lattice thermal conductivity w.r.t grain size

Phonon lifetime and scattering rates

../../_images/fig_lifetime745.png

(a) Phonon lifetime due to phonon-phonon scattering

../../_images/fig_scat_rates744.png

(b) Phonon scattering rates

Cumulative and spectral thermal conductivity

../../_images/fig_cumu_frequency745.png

(a) Spectral and cumulative thermal conductivity w.r.t frequency

../../_images/fig_cumu_mfp745.png

(b) Spectral and cumulative thermal conductivity w.r.t MFP

Force constants

../../_images/fig_fc21071.png

(a) Force constants w.r.t atomic distance

Summary

../../_images/fig_kappa1461.png

(a) Temperature-dependent lattice thermal conductivity

../../_images/fig_times1807.png

(b) Computation time