mp-9723-2/Sr4LiB3N6/anharm

Equation of state

../../_images/fig_bm411.png

(a) Equation of state

Harmonic properties

../../_images/fig_bandos_pr1209.png

(a) Phonon dispersion with participation ratio and DOS

../../_images/fig_thermo1209.png

(b) Thermodynamic properties

Grüneisen parameters

../../_images/fig_gru_all754.png

(a) Grüneisen parameters

../../_images/fig_gruneisen754.png

(b) Phonon dispersion with Grüneisen parameters

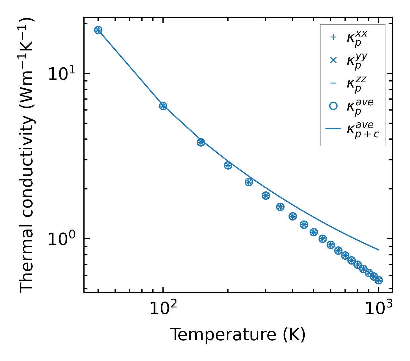
Thermal conductivity

3-phonon (LASSO) — q-mesh: 12x12x12, supercell: 1x1x1

../../_images/fig_kappa1466.png

(a) Temperature-dependent lattice thermal conductivity

../../_images/fig_kappa_vs_grain_size761.png

(b) Peierls lattice thermal conductivity w.r.t grain size

3-phonon (LASSO), supercell 2x2x2 — q-mesh: 12x12x12, supercell: 2x2x2

../../_images/fig_kappa1467.png

(a) Temperature-dependent lattice thermal conductivity

../../_images/fig_kappa_vs_grain_size762.png

(b) Peierls lattice thermal conductivity w.r.t grain size

Phonon lifetime and scattering rates

../../_images/fig_lifetime748.png

(a) Phonon lifetime due to phonon-phonon scattering

../../_images/fig_scat_rates747.png

(b) Phonon scattering rates

Cumulative and spectral thermal conductivity

../../_images/fig_cumu_frequency748.png

(a) Spectral and cumulative thermal conductivity w.r.t frequency

../../_images/fig_cumu_mfp748.png

(b) Spectral and cumulative thermal conductivity w.r.t MFP

Force constants

../../_images/fig_fc21075.png

(a) Force constants w.r.t atomic distance

Summary

../../_images/fig_kappa1468.png

(a) Temperature-dependent lattice thermal conductivity

../../_images/fig_times1811.png

(b) Computation time