mp-9322-2/Rb2Sn2Se5/anharm

Equation of state

../../_images/fig_bm514.png

(a) Equation of state

Harmonic properties

../../_images/fig_bandos_pr1439.png

(a) Phonon dispersion with participation ratio and DOS

../../_images/fig_thermo1439.png

(b) Thermodynamic properties

Grüneisen parameters

../../_images/fig_gru_all885.png

(a) Grüneisen parameters

../../_images/fig_gruneisen885.png

(b) Phonon dispersion with Grüneisen parameters

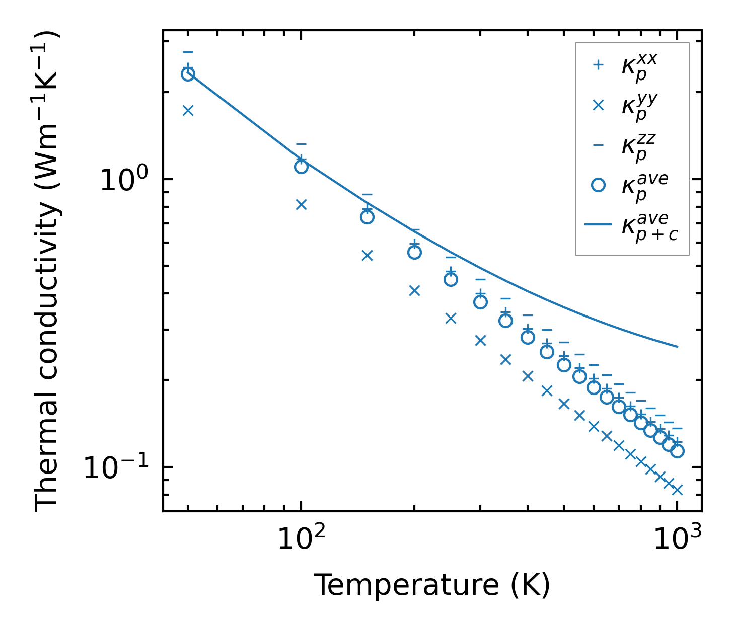
Thermal conductivity

3-phonon (LASSO) — q-mesh: 10x10x6, supercell: 2x2x1

../../_images/fig_kappa1718.png

(a) Temperature-dependent lattice thermal conductivity

../../_images/fig_kappa_vs_grain_size895.png

(b) Peierls lattice thermal conductivity w.r.t grain size

Phonon lifetime and scattering rates

../../_images/fig_lifetime878.png

(a) Phonon lifetime due to phonon-phonon scattering

../../_images/fig_scat_rates877.png

(b) Phonon scattering rates

Cumulative and spectral thermal conductivity

../../_images/fig_cumu_frequency878.png

(a) Spectral and cumulative thermal conductivity w.r.t frequency

../../_images/fig_cumu_mfp878.png

(b) Spectral and cumulative thermal conductivity w.r.t MFP

Force constants

../../_images/fig_fc21291.png

(a) Force constants w.r.t atomic distance

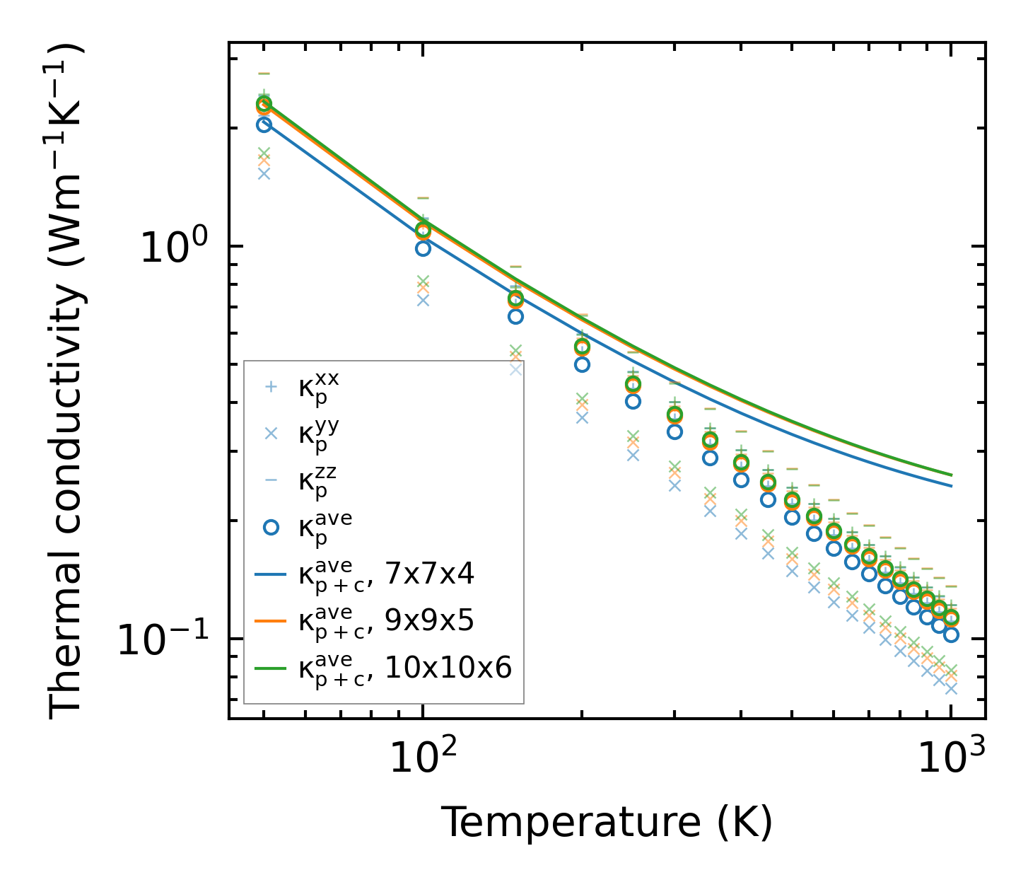
Summary

../../_images/fig_kappa1719.png

(a) Temperature-dependent lattice thermal conductivity

../../_images/fig_times2153.png

(b) Computation time