mp-9813-2/WS2/anharm

Equation of state

../../_images/fig_bm433.png

(a) Equation of state

Harmonic properties

../../_images/fig_bandos_pr1250.png

(a) Phonon dispersion with participation ratio and DOS

../../_images/fig_thermo1250.png

(b) Thermodynamic properties

Grüneisen parameters

../../_images/fig_gru_all771.png

(a) Grüneisen parameters

../../_images/fig_gruneisen771.png

(b) Phonon dispersion with Grüneisen parameters

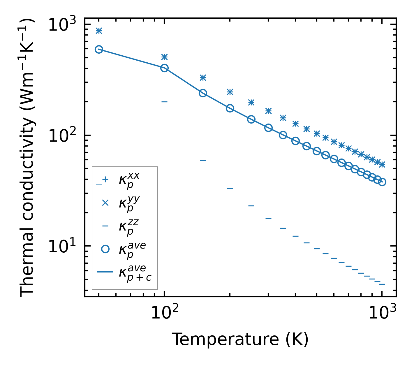
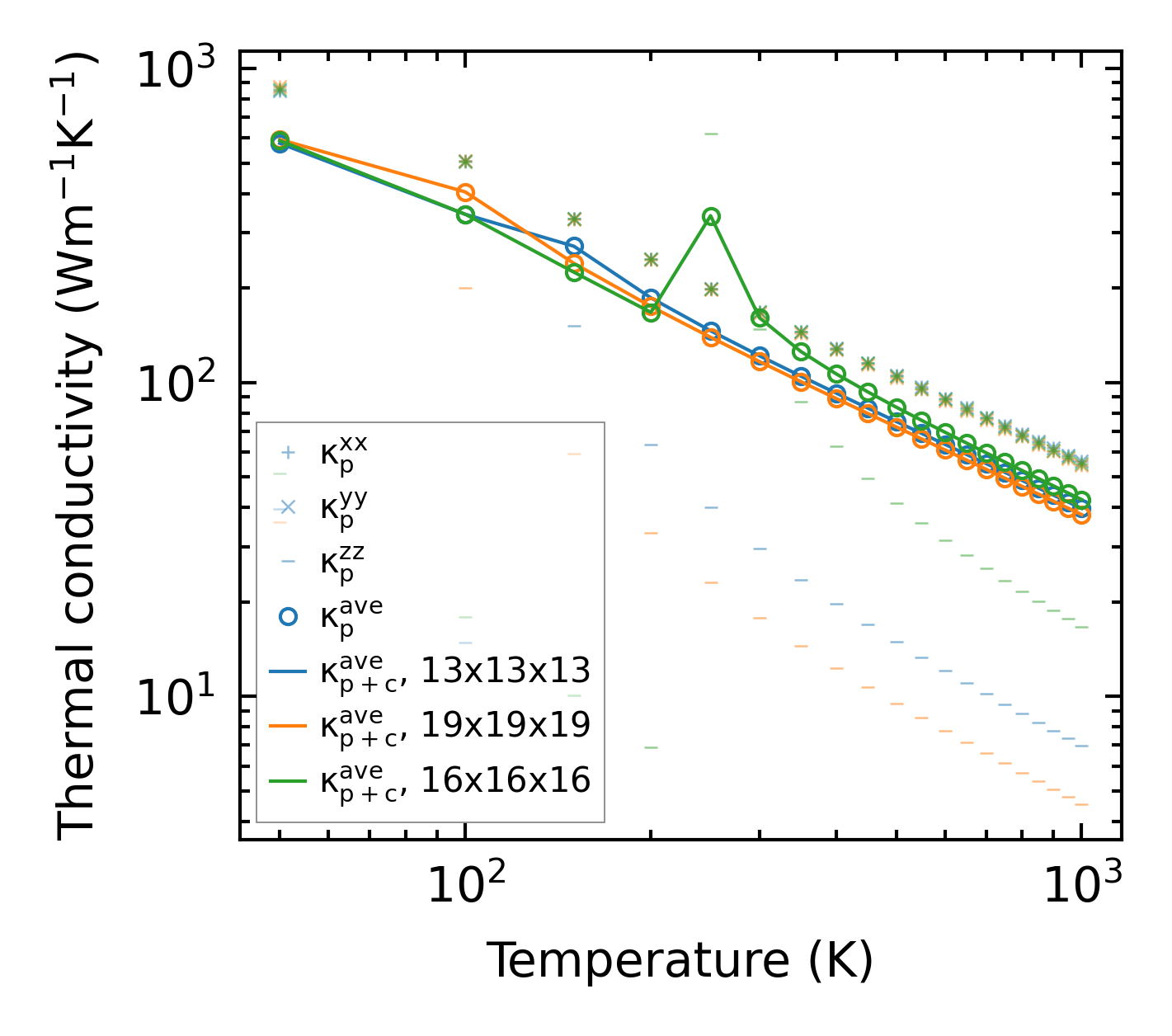
Thermal conductivity

3-phonon (LASSO) — q-mesh: 19x19x19, supercell: 4x4x1

../../_images/fig_kappa1500.png

(a) Temperature-dependent lattice thermal conductivity

../../_images/fig_kappa_vs_grain_size779.png

(b) Peierls lattice thermal conductivity w.r.t grain size

Phonon lifetime and scattering rates

../../_images/fig_lifetime765.png

(a) Phonon lifetime due to phonon-phonon scattering

../../_images/fig_scat_rates764.png

(b) Phonon scattering rates

Cumulative and spectral thermal conductivity

../../_images/fig_cumu_frequency765.png

(a) Spectral and cumulative thermal conductivity w.r.t frequency

../../_images/fig_cumu_mfp765.png

(b) Spectral and cumulative thermal conductivity w.r.t MFP

Force constants

../../_images/fig_fc21116.png

(a) Force constants w.r.t atomic distance

Summary

../../_images/fig_kappa1501.png

(a) Temperature-dependent lattice thermal conductivity

../../_images/fig_times1871.png

(b) Computation time