mp-9745/Ba3NaRuO6/anharm

Harmonic properties

../../_images/fig_bandos_pr1215.png

(a) Phonon dispersion with participation ratio and DOS

../../_images/fig_thermo1215.png

(b) Thermodynamic properties

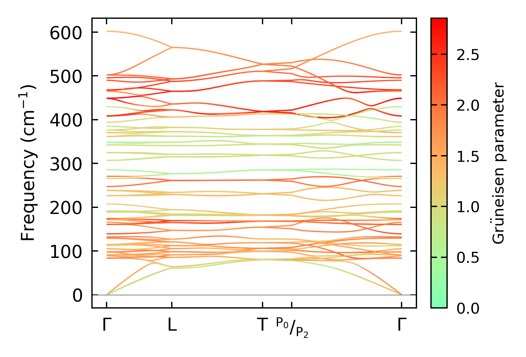
Grüneisen parameters

../../_images/fig_gru_all757.png

(a) Grüneisen parameters

../../_images/fig_gruneisen757.png

(b) Phonon dispersion with Grüneisen parameters

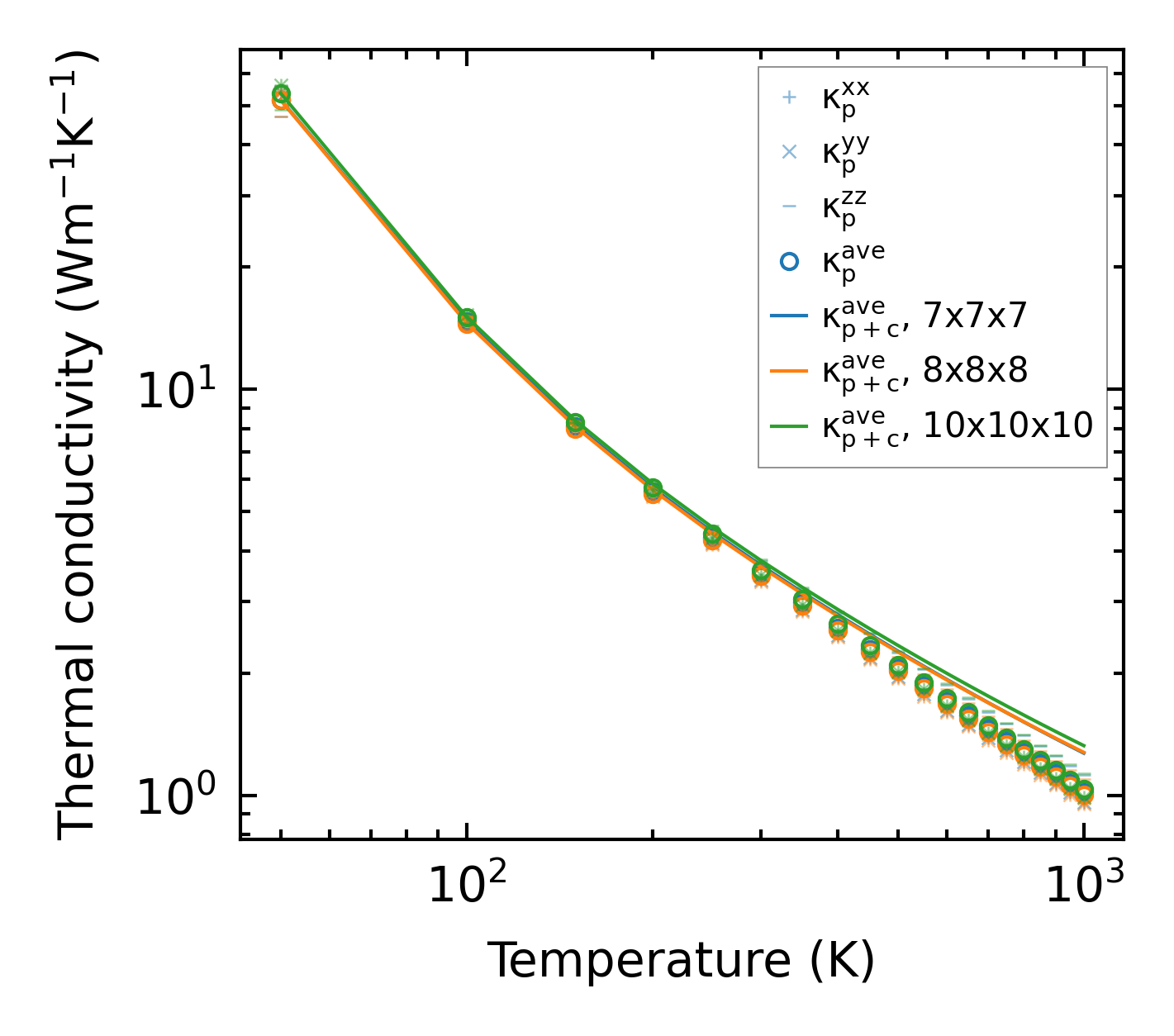
Thermal conductivity

3-phonon (LASSO) — q-mesh: 10x10x10, supercell: 1x1x1

../../_images/fig_kappa1473.png

(a) Temperature-dependent lattice thermal conductivity

../../_images/fig_kappa_vs_grain_size765.png

(b) Peierls lattice thermal conductivity w.r.t grain size

Phonon lifetime and scattering rates

../../_images/fig_lifetime751.png

(a) Phonon lifetime due to phonon-phonon scattering

../../_images/fig_scat_rates750.png

(b) Phonon scattering rates

Cumulative and spectral thermal conductivity

../../_images/fig_cumu_frequency751.png

(a) Spectral and cumulative thermal conductivity w.r.t frequency

../../_images/fig_cumu_mfp751.png

(b) Spectral and cumulative thermal conductivity w.r.t MFP

Force constants

../../_images/fig_fc21081.png

(a) Force constants w.r.t atomic distance

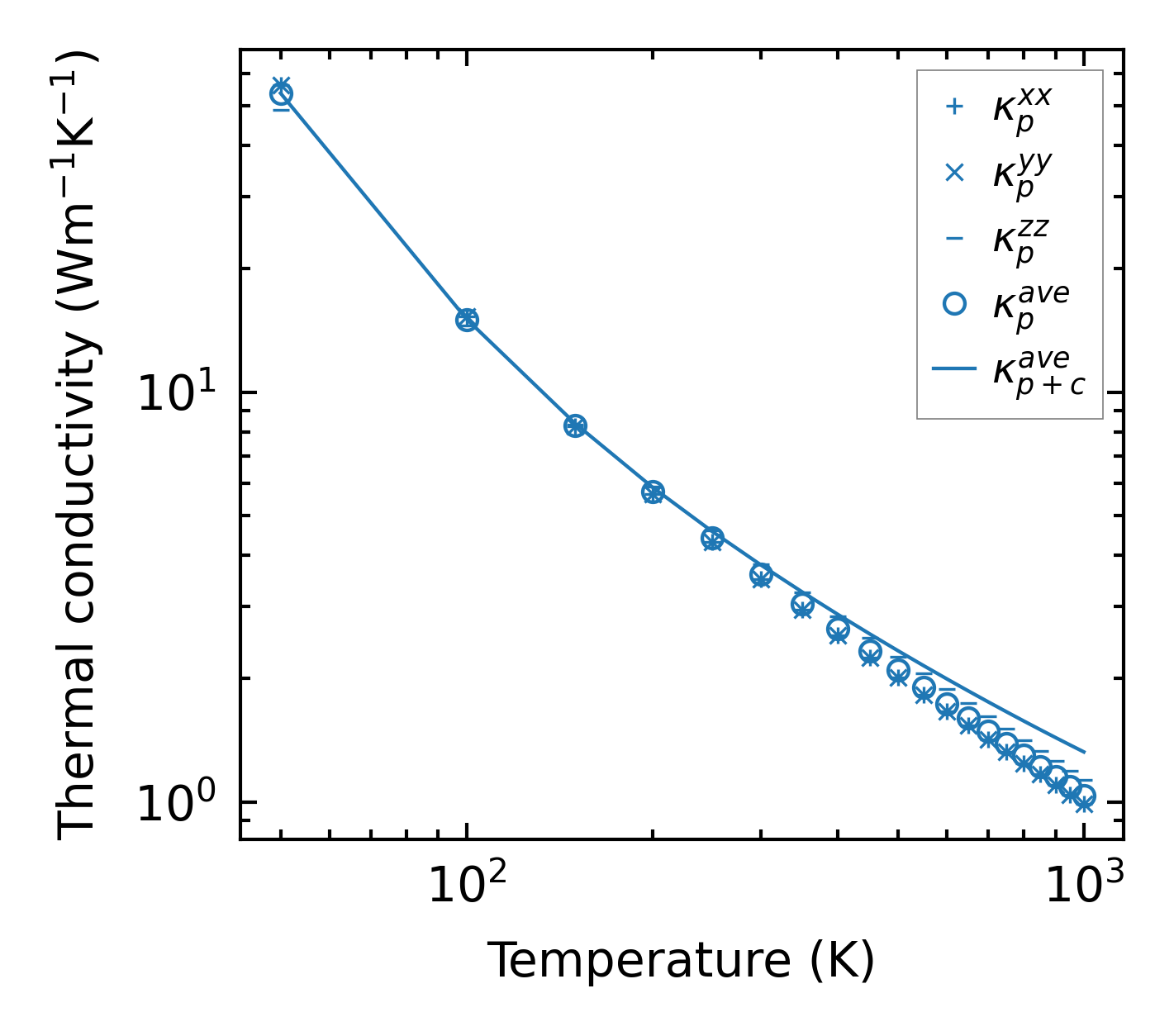
Summary

../../_images/fig_kappa1474.png

(a) Temperature-dependent lattice thermal conductivity

../../_images/fig_times1819.png

(b) Computation time