mp-9248-2/SiCu2S3/anharm

Equation of state

../../_images/fig_bm500.png

(a) Equation of state

Harmonic properties

../../_images/fig_bandos_pr1402.png

(a) Phonon dispersion with participation ratio and DOS

../../_images/fig_thermo1402.png

(b) Thermodynamic properties

Grüneisen parameters

../../_images/fig_gru_all863.png

(a) Grüneisen parameters

../../_images/fig_gruneisen863.png

(b) Phonon dispersion with Grüneisen parameters

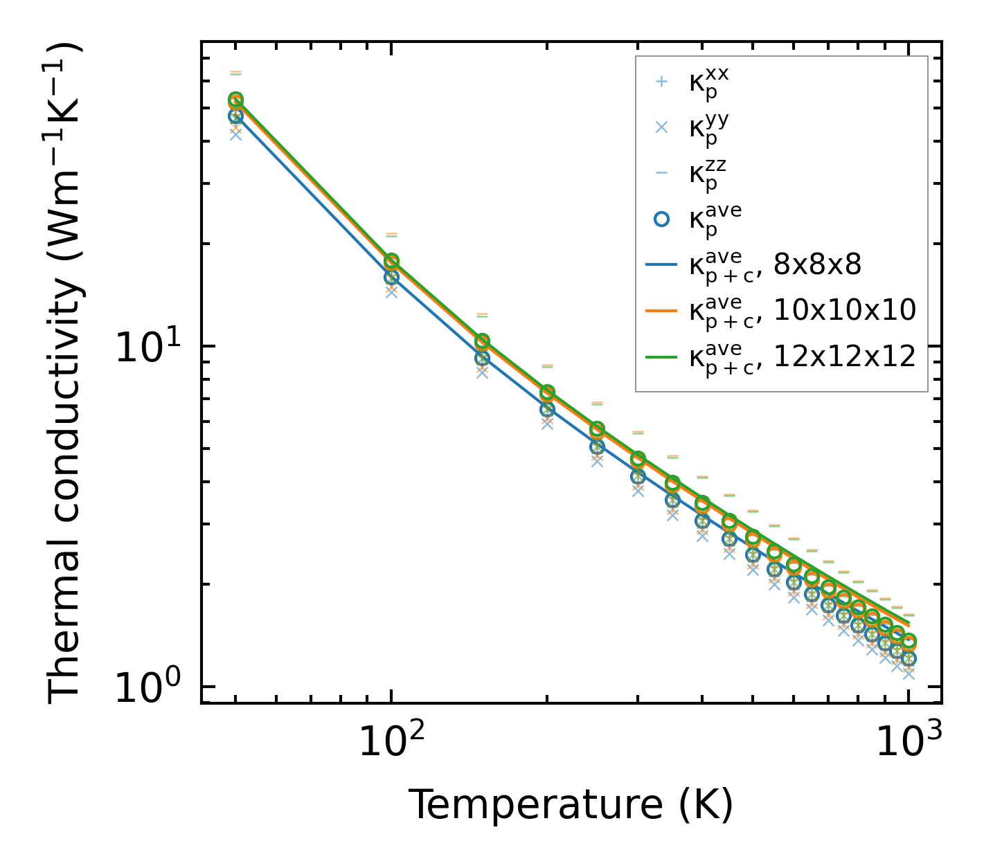
Thermal conductivity

3-phonon (LASSO) — q-mesh: 12x12x12, supercell: 1x2x2

../../_images/fig_kappa1675.png

(a) Temperature-dependent lattice thermal conductivity

../../_images/fig_kappa_vs_grain_size873.png

(b) Peierls lattice thermal conductivity w.r.t grain size

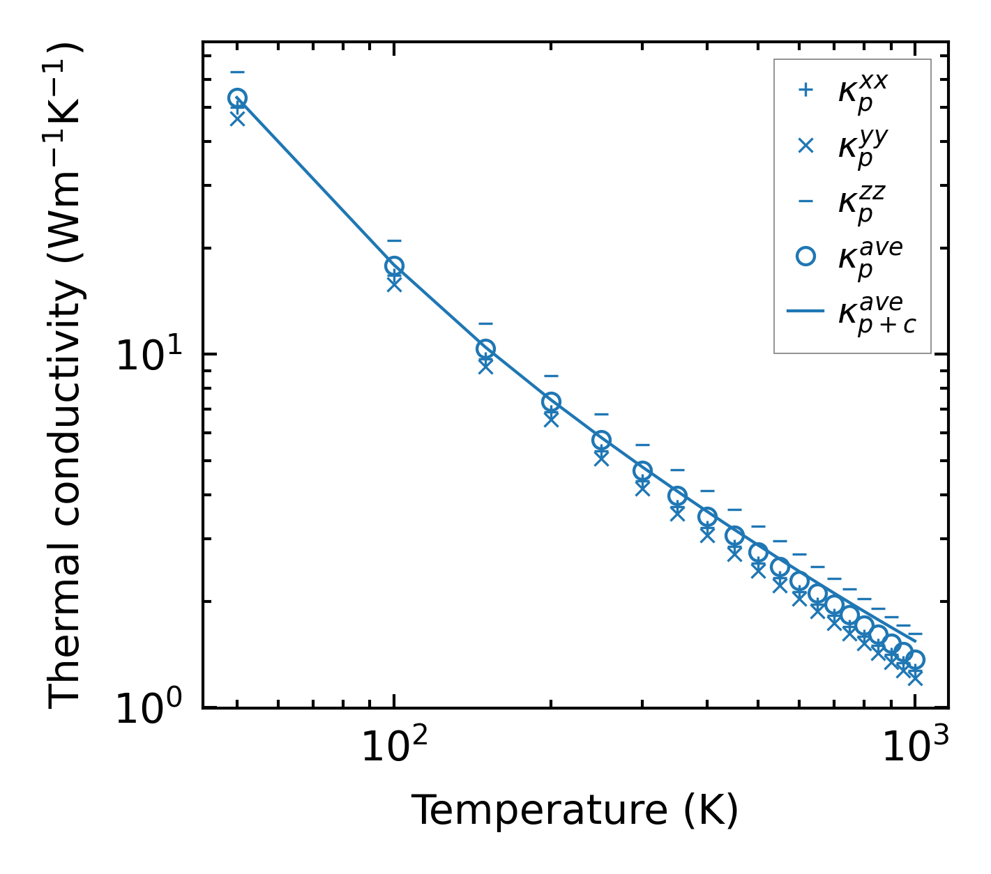
3-phonon (LASSO), supercell 2x2x2 — q-mesh: 12x12x12, supercell: 2x2x2

../../_images/fig_kappa1676.png

(a) Temperature-dependent lattice thermal conductivity

../../_images/fig_kappa_vs_grain_size874.png

(b) Peierls lattice thermal conductivity w.r.t grain size

Phonon lifetime and scattering rates

../../_images/fig_lifetime857.png

(a) Phonon lifetime due to phonon-phonon scattering

../../_images/fig_scat_rates856.png

(b) Phonon scattering rates

Cumulative and spectral thermal conductivity

../../_images/fig_cumu_frequency857.png

(a) Spectral and cumulative thermal conductivity w.r.t frequency

../../_images/fig_cumu_mfp857.png

(b) Spectral and cumulative thermal conductivity w.r.t MFP

Force constants

../../_images/fig_fc21255.png

(a) Force constants w.r.t atomic distance

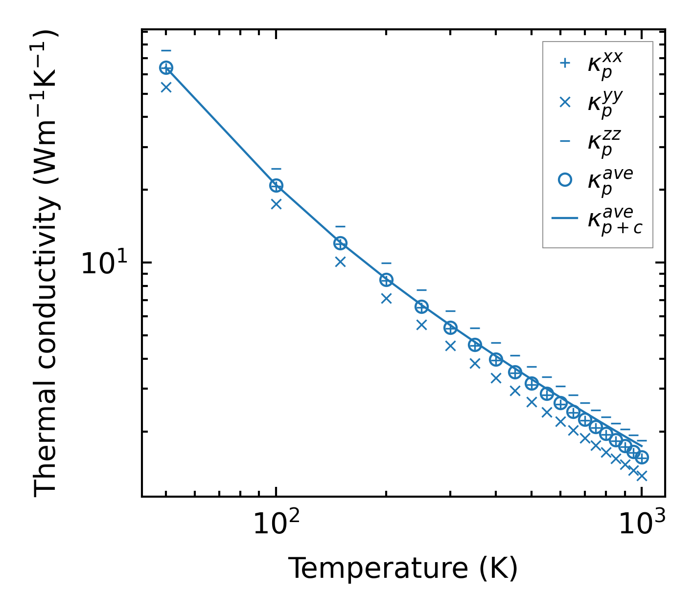
Summary

../../_images/fig_kappa1677.png

(a) Temperature-dependent lattice thermal conductivity

../../_images/fig_times2113.png

(b) Computation time