mp-9703/K2LiGaAs2/anharm

Harmonic properties

../../_images/fig_bandos_pr1194.png

(a) Phonon dispersion with participation ratio and DOS

../../_images/fig_thermo1194.png

(b) Thermodynamic properties

Grüneisen parameters

../../_images/fig_gru_all745.png

(a) Grüneisen parameters

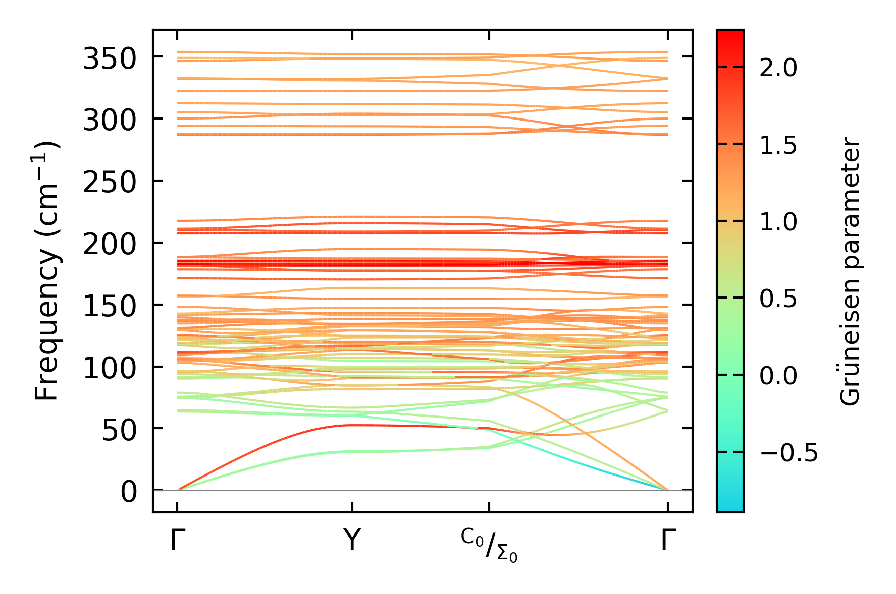
../../_images/fig_gruneisen745.png

(b) Phonon dispersion with Grüneisen parameters

Thermal conductivity

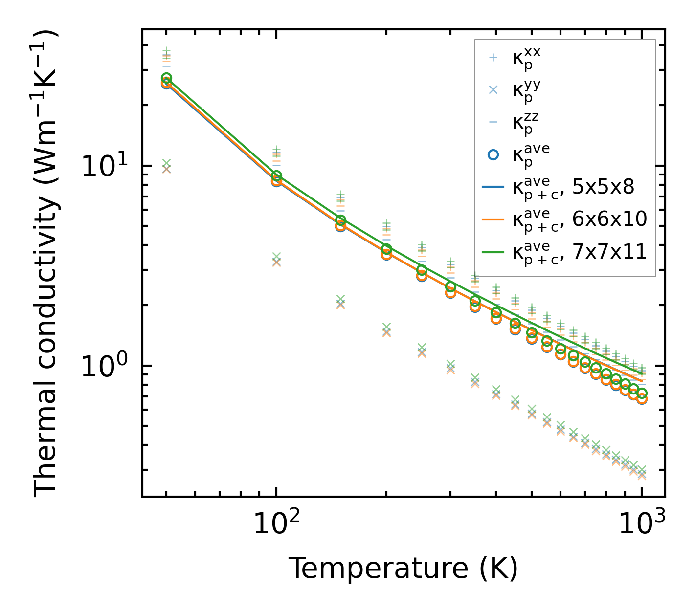
3-phonon (LASSO) — q-mesh: 7x7x11, supercell: 1x1x3

../../_images/fig_kappa1452.png

(a) Temperature-dependent lattice thermal conductivity

../../_images/fig_kappa_vs_grain_size754.png

(b) Peierls lattice thermal conductivity w.r.t grain size

Phonon lifetime and scattering rates

../../_images/fig_lifetime741.png

(a) Phonon lifetime due to phonon-phonon scattering

../../_images/fig_scat_rates740.png

(b) Phonon scattering rates

Cumulative and spectral thermal conductivity

../../_images/fig_cumu_frequency741.png

(a) Spectral and cumulative thermal conductivity w.r.t frequency

../../_images/fig_cumu_mfp741.png

(b) Spectral and cumulative thermal conductivity w.r.t MFP

Force constants

../../_images/fig_fc21060.png

(a) Force constants w.r.t atomic distance

Summary

../../_images/fig_kappa1453.png

(a) Temperature-dependent lattice thermal conductivity

../../_images/fig_times1796.png

(b) Computation time