mp-9396/HfTlCuS3/anharm

Harmonic properties

../../_images/fig_bandos_pr1471.png

(a) Phonon dispersion with participation ratio and DOS

../../_images/fig_thermo1471.png

(b) Thermodynamic properties

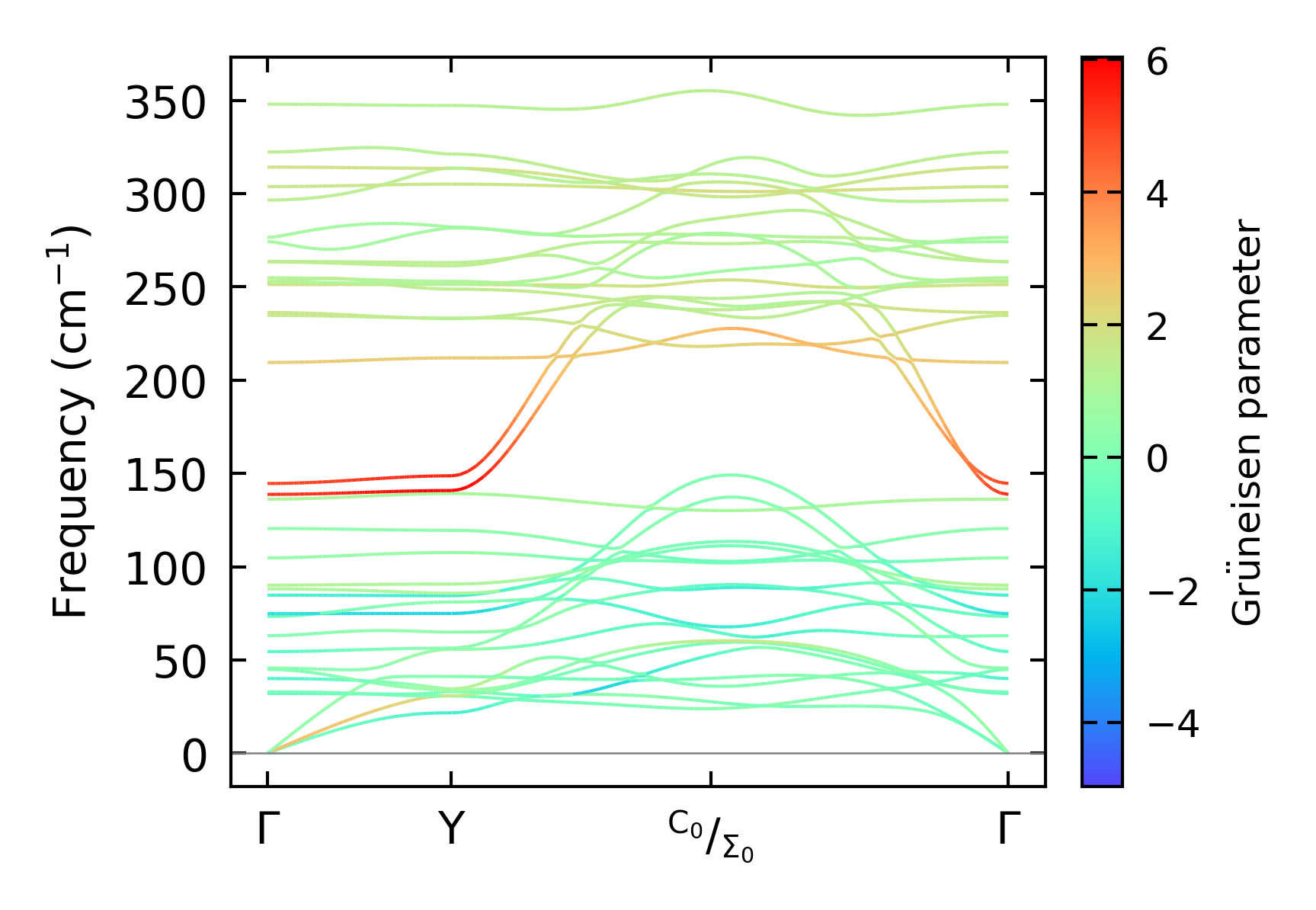
Grüneisen parameters

../../_images/fig_gru_all904.png

(a) Grüneisen parameters

../../_images/fig_gruneisen904.png

(b) Phonon dispersion with Grüneisen parameters

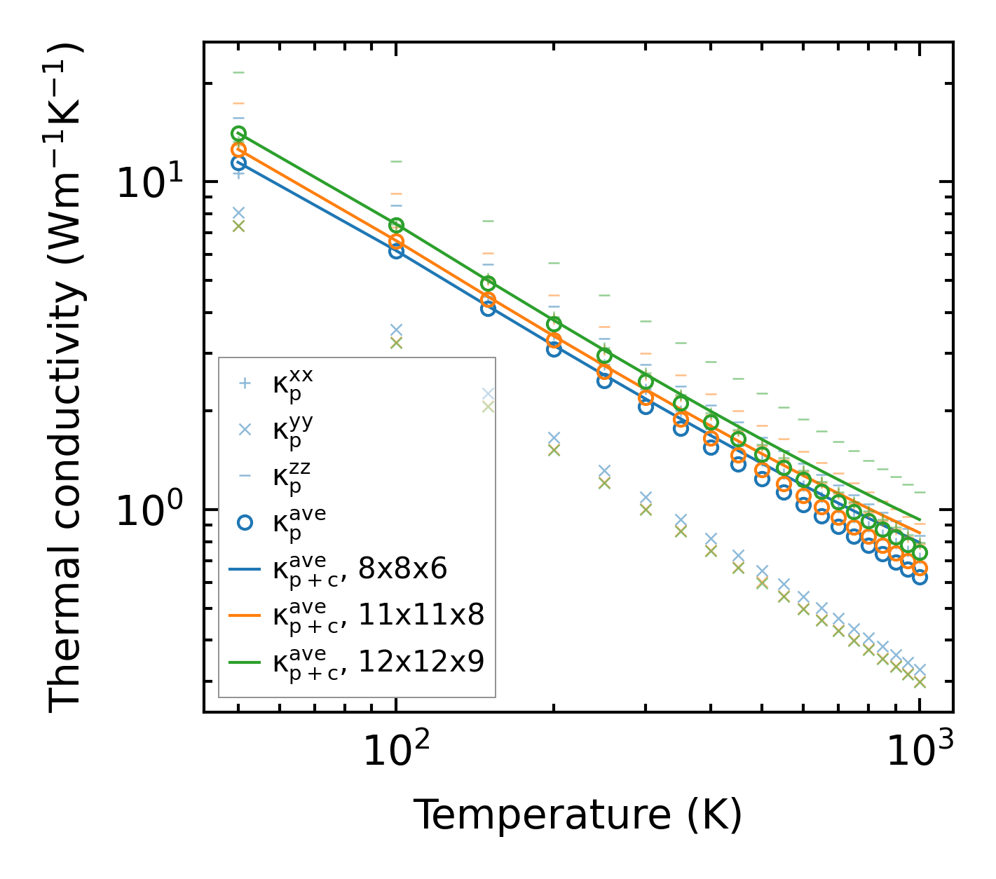
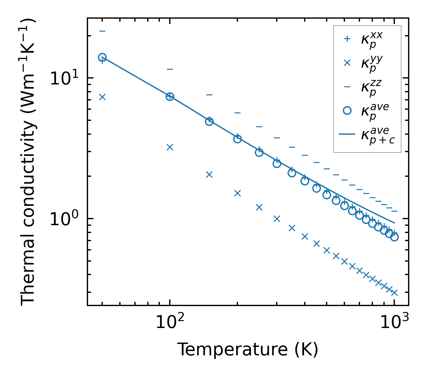
Thermal conductivity

3-phonon (LASSO) — q-mesh: 12x12x9, supercell: 3x1x2

../../_images/fig_kappa1754.png

(a) Temperature-dependent lattice thermal conductivity

../../_images/fig_kappa_vs_grain_size914.png

(b) Peierls lattice thermal conductivity w.r.t grain size

Phonon lifetime and scattering rates

../../_images/fig_lifetime897.png

(a) Phonon lifetime due to phonon-phonon scattering

../../_images/fig_scat_rates896.png

(b) Phonon scattering rates

Cumulative and spectral thermal conductivity

../../_images/fig_cumu_frequency897.png

(a) Spectral and cumulative thermal conductivity w.r.t frequency

../../_images/fig_cumu_mfp897.png

(b) Spectral and cumulative thermal conductivity w.r.t MFP

Force constants

../../_images/fig_fc21323.png

(a) Force constants w.r.t atomic distance

Summary

../../_images/fig_kappa1755.png

(a) Temperature-dependent lattice thermal conductivity

../../_images/fig_times2195.png

(b) Computation time