mp-9069/K2NaAlAs2/anharm

Harmonic properties

../../_images/fig_bandos_pr1355.png

(a) Phonon dispersion with participation ratio and DOS

../../_images/fig_thermo1355.png

(b) Thermodynamic properties

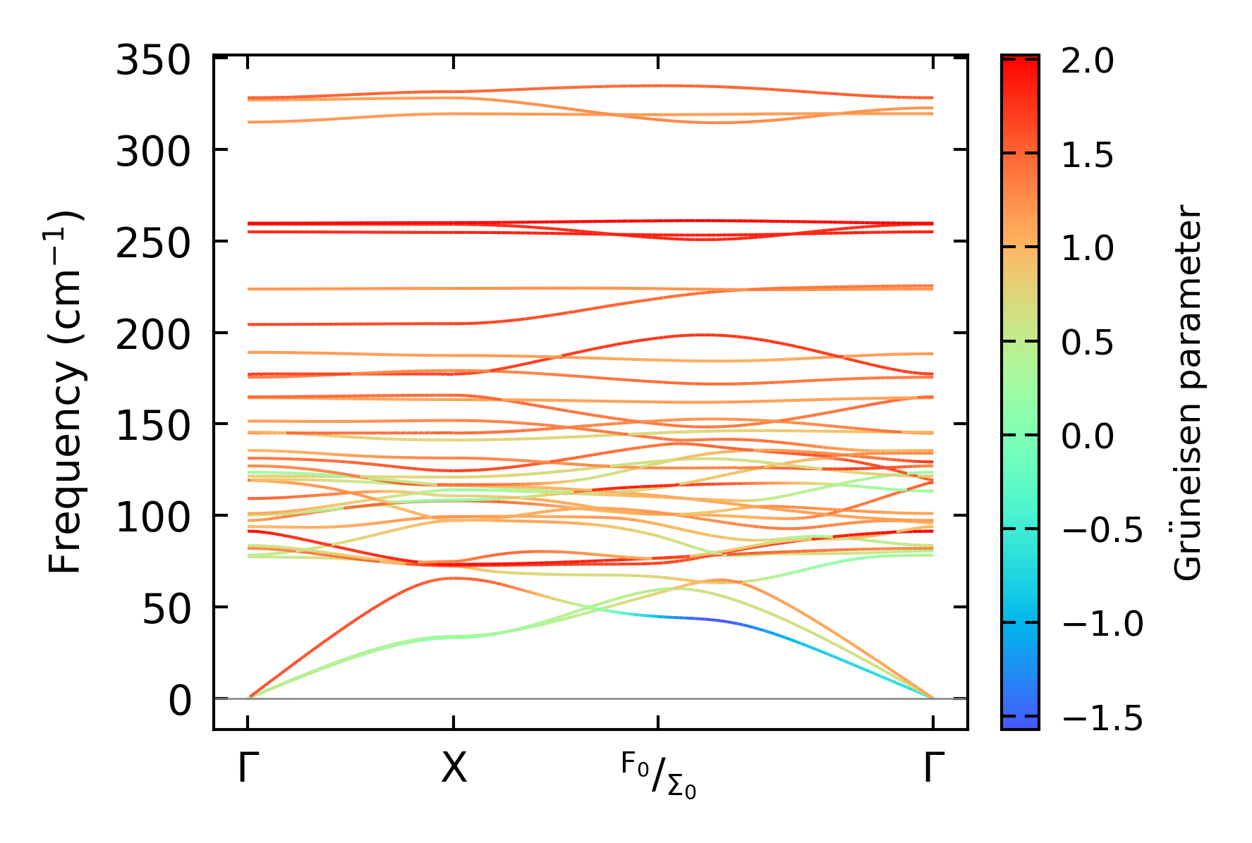
Grüneisen parameters

../../_images/fig_gru_all835.png

(a) Grüneisen parameters

../../_images/fig_gruneisen835.png

(b) Phonon dispersion with Grüneisen parameters

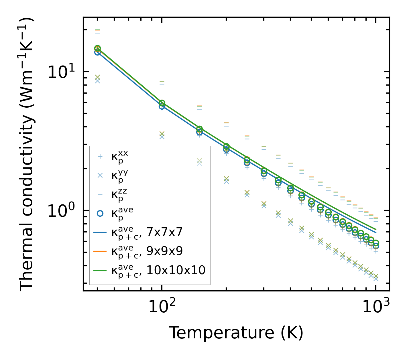
Thermal conductivity

3-phonon (LASSO) — q-mesh: 10x10x10, supercell: 2x1x3

../../_images/fig_kappa1622.png

(a) Temperature-dependent lattice thermal conductivity

../../_images/fig_kappa_vs_grain_size845.png

(b) Peierls lattice thermal conductivity w.r.t grain size

Phonon lifetime and scattering rates

../../_images/fig_lifetime829.png

(a) Phonon lifetime due to phonon-phonon scattering

../../_images/fig_scat_rates828.png

(b) Phonon scattering rates

Cumulative and spectral thermal conductivity

../../_images/fig_cumu_frequency829.png

(a) Spectral and cumulative thermal conductivity w.r.t frequency

../../_images/fig_cumu_mfp829.png

(b) Spectral and cumulative thermal conductivity w.r.t MFP

Force constants

../../_images/fig_fc21210.png

(a) Force constants w.r.t atomic distance

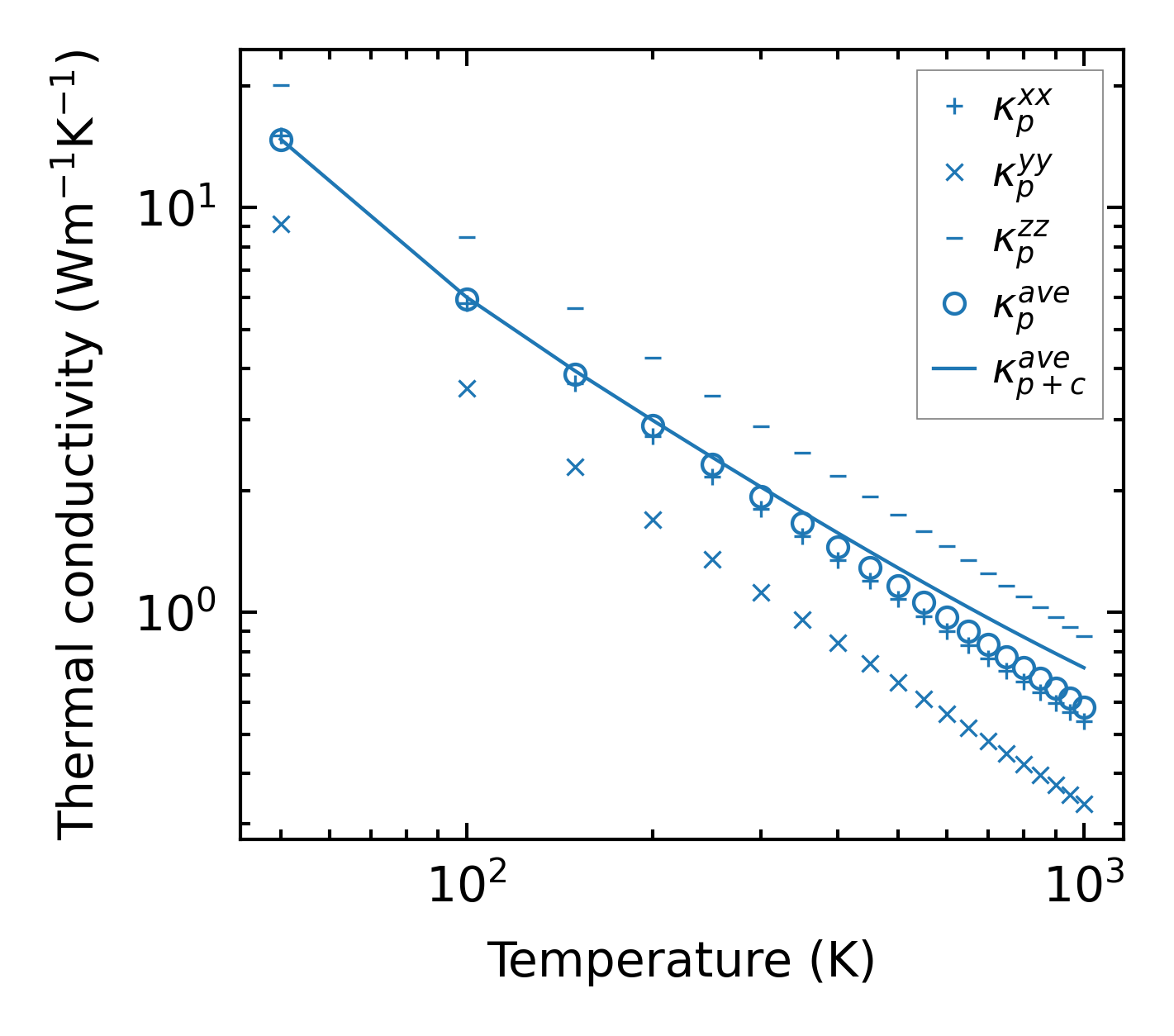
Summary

../../_images/fig_kappa1623.png

(a) Temperature-dependent lattice thermal conductivity

../../_images/fig_times2039.png

(b) Computation time