mp-9172/Li4TiO4/anharm

Harmonic properties

../../_images/fig_bandos_pr1380.png

(a) Phonon dispersion with participation ratio and DOS

../../_images/fig_thermo1380.png

(b) Thermodynamic properties

Grüneisen parameters

../../_images/fig_gru_all853.png

(a) Grüneisen parameters

../../_images/fig_gruneisen853.png

(b) Phonon dispersion with Grüneisen parameters

Thermal conductivity

3-phonon (LASSO) — q-mesh: 13x13x11, supercell: 1x2x2

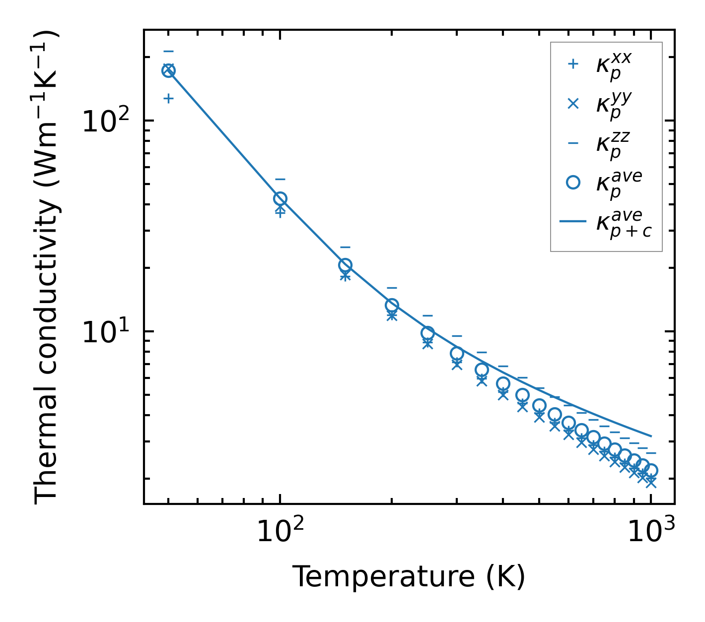
../../_images/fig_kappa1657.png

(a) Temperature-dependent lattice thermal conductivity

../../_images/fig_kappa_vs_grain_size863.png

(b) Peierls lattice thermal conductivity w.r.t grain size

Phonon lifetime and scattering rates

../../_images/fig_lifetime847.png

(a) Phonon lifetime due to phonon-phonon scattering

../../_images/fig_scat_rates846.png

(b) Phonon scattering rates

Cumulative and spectral thermal conductivity

../../_images/fig_cumu_frequency847.png

(a) Spectral and cumulative thermal conductivity w.r.t frequency

../../_images/fig_cumu_mfp847.png

(b) Spectral and cumulative thermal conductivity w.r.t MFP

Force constants

../../_images/fig_fc21234.png

(a) Force constants w.r.t atomic distance

Summary

../../_images/fig_kappa1658.png

(a) Temperature-dependent lattice thermal conductivity

../../_images/fig_times2076.png

(b) Computation time