mp-9843/Sr3Al2P4/anharm

Harmonic properties

../../_images/fig_bandos_pr1260.png

(a) Phonon dispersion with participation ratio and DOS

../../_images/fig_thermo1260.png

(b) Thermodynamic properties

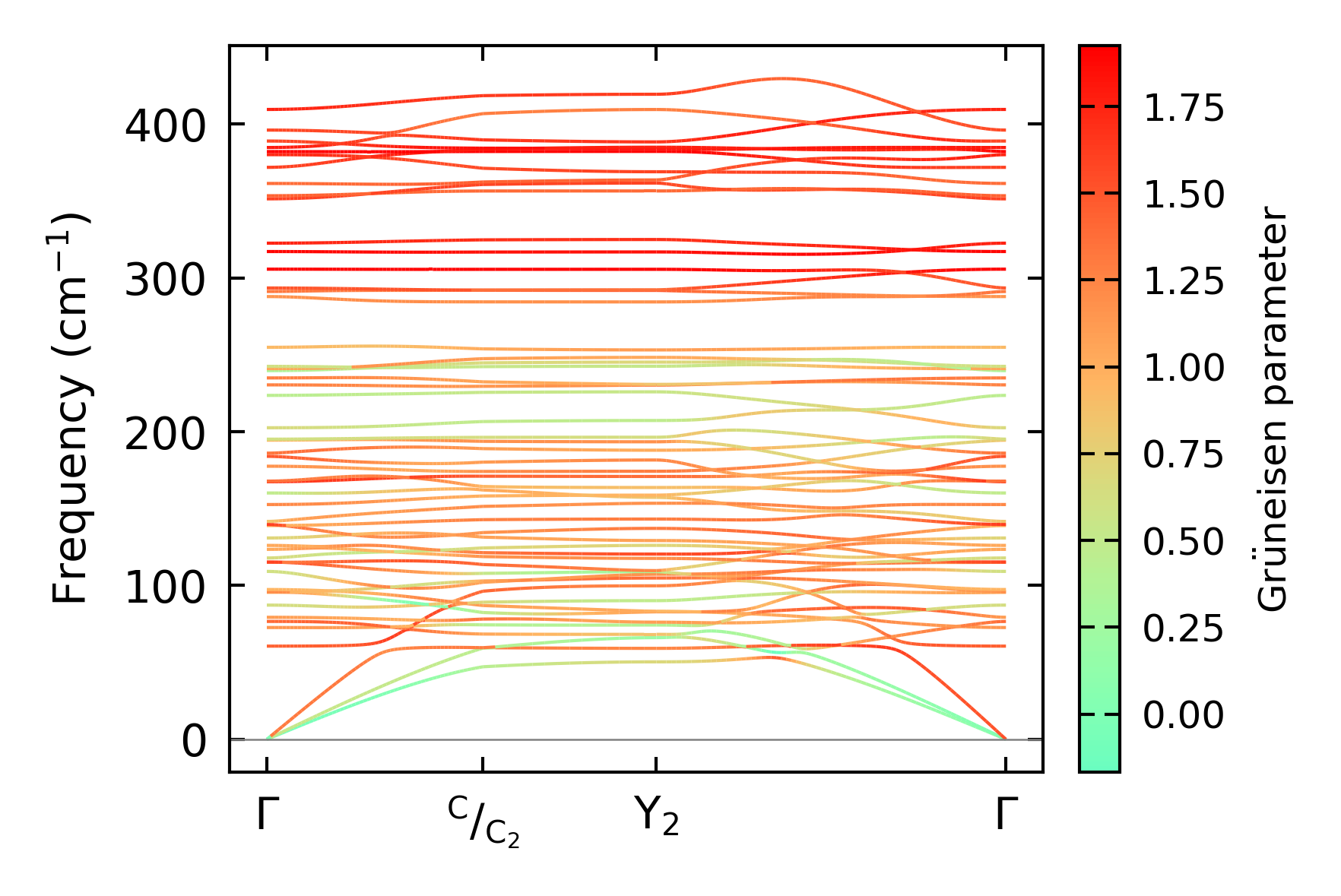
Grüneisen parameters

../../_images/fig_gru_all775.png

(a) Grüneisen parameters

../../_images/fig_gruneisen775.png

(b) Phonon dispersion with Grüneisen parameters

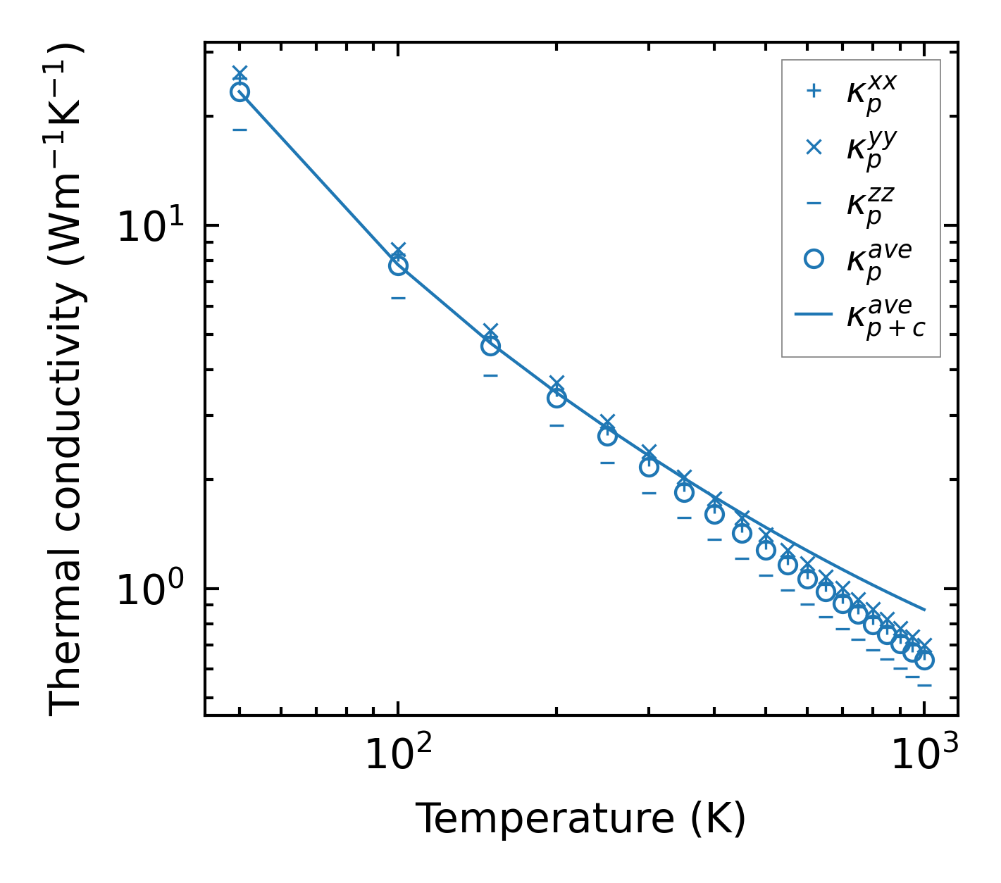
Thermal conductivity

3-phonon (LASSO) — q-mesh: 8x8x11, supercell: 1x2x2

../../_images/fig_kappa1507.png

(a) Temperature-dependent lattice thermal conductivity

../../_images/fig_kappa_vs_grain_size783.png

(b) Peierls lattice thermal conductivity w.r.t grain size

Phonon lifetime and scattering rates

../../_images/fig_lifetime769.png

(a) Phonon lifetime due to phonon-phonon scattering

../../_images/fig_scat_rates768.png

(b) Phonon scattering rates

Cumulative and spectral thermal conductivity

../../_images/fig_cumu_frequency769.png

(a) Spectral and cumulative thermal conductivity w.r.t frequency

../../_images/fig_cumu_mfp769.png

(b) Spectral and cumulative thermal conductivity w.r.t MFP

Force constants

../../_images/fig_fc21126.png

(a) Force constants w.r.t atomic distance

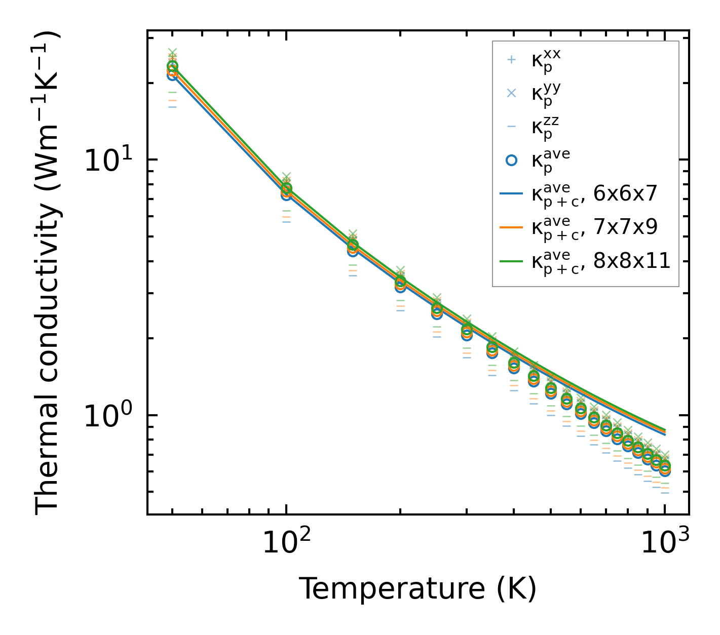
Summary

../../_images/fig_kappa1508.png

(a) Temperature-dependent lattice thermal conductivity

../../_images/fig_times1886.png

(b) Computation time