mp-9610/Li2CN2/anharm

Harmonic properties

../../_images/fig_bandos_pr1165.png

(a) Phonon dispersion with participation ratio and DOS

../../_images/fig_thermo1165.png

(b) Thermodynamic properties

Grüneisen parameters

../../_images/fig_gru_all720.png

(a) Grüneisen parameters

../../_images/fig_gruneisen720.png

(b) Phonon dispersion with Grüneisen parameters

Thermal conductivity

3-phonon (LASSO) — q-mesh: 18x18x18, supercell: 3x3x1

../../_images/fig_kappa1406.png

(a) Temperature-dependent lattice thermal conductivity

../../_images/fig_kappa_vs_grain_size729.png

(b) Peierls lattice thermal conductivity w.r.t grain size

Phonon lifetime and scattering rates

../../_images/fig_lifetime718.png

(a) Phonon lifetime due to phonon-phonon scattering

../../_images/fig_scat_rates717.png

(b) Phonon scattering rates

Cumulative and spectral thermal conductivity

../../_images/fig_cumu_frequency718.png

(a) Spectral and cumulative thermal conductivity w.r.t frequency

../../_images/fig_cumu_mfp718.png

(b) Spectral and cumulative thermal conductivity w.r.t MFP

Force constants

../../_images/fig_fc21031.png

(a) Force constants w.r.t atomic distance

Summary

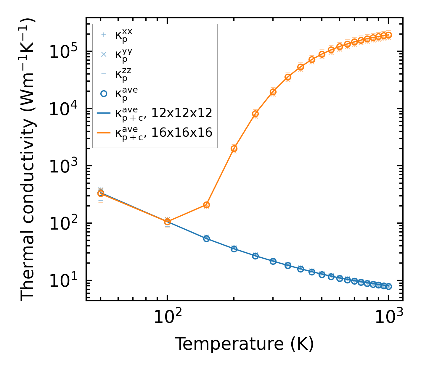
../../_images/fig_kappa1407.png

(a) Temperature-dependent lattice thermal conductivity

../../_images/fig_times1749.png

(b) Computation time