mp-9274-2/Rb3Sb2Au3/anharm

Equation of state

../../_images/fig_bm507.png

(a) Equation of state

Harmonic properties

../../_images/fig_bandos_pr1418.png

(a) Phonon dispersion with participation ratio and DOS

../../_images/fig_thermo1418.png

(b) Thermodynamic properties

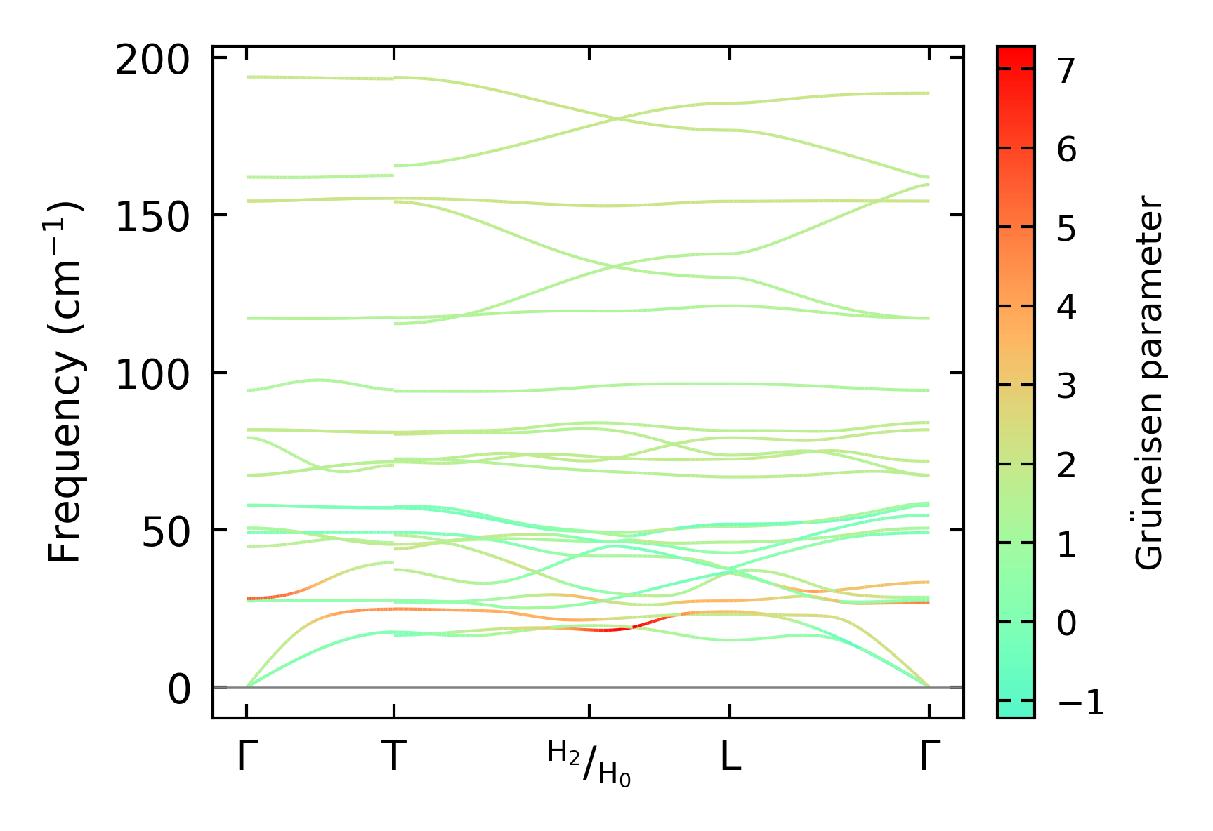
Grüneisen parameters

../../_images/fig_gru_all874.png

(a) Grüneisen parameters

../../_images/fig_gruneisen874.png

(b) Phonon dispersion with Grüneisen parameters

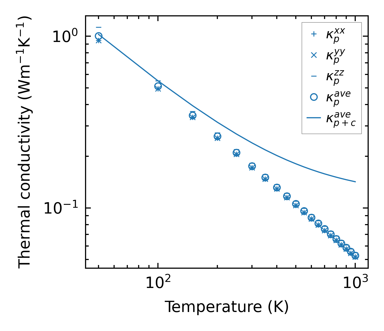
Thermal conductivity

3-phonon (LASSO) — q-mesh: 11x11x11, supercell: 2x2x1

../../_images/fig_kappa1696.png

(a) Temperature-dependent lattice thermal conductivity

../../_images/fig_kappa_vs_grain_size884.png

(b) Peierls lattice thermal conductivity w.r.t grain size

Phonon lifetime and scattering rates

../../_images/fig_lifetime867.png

(a) Phonon lifetime due to phonon-phonon scattering

../../_images/fig_scat_rates866.png

(b) Phonon scattering rates

Cumulative and spectral thermal conductivity

../../_images/fig_cumu_frequency867.png

(a) Spectral and cumulative thermal conductivity w.r.t frequency

../../_images/fig_cumu_mfp867.png

(b) Spectral and cumulative thermal conductivity w.r.t MFP

Force constants

../../_images/fig_fc21270.png

(a) Force constants w.r.t atomic distance

Summary

../../_images/fig_kappa1697.png

(a) Temperature-dependent lattice thermal conductivity

../../_images/fig_times2132.png

(b) Computation time