mp-9514/MgAl2C2/anharm

Harmonic properties

../../_images/fig_bandos_pr1139.png

(a) Phonon dispersion with participation ratio and DOS

../../_images/fig_thermo1139.png

(b) Thermodynamic properties

Grüneisen parameters

../../_images/fig_gru_all697.png

(a) Grüneisen parameters

../../_images/fig_gruneisen697.png

(b) Phonon dispersion with Grüneisen parameters

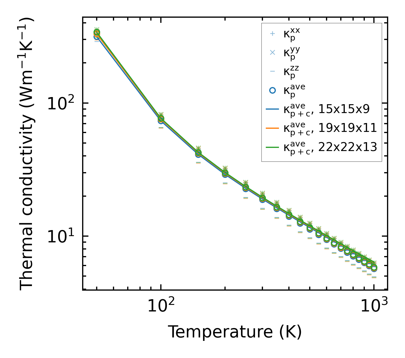
Thermal conductivity

3-phonon (LASSO) — q-mesh: 22x22x13, supercell: 3x3x2

../../_images/fig_kappa1360.png

(a) Temperature-dependent lattice thermal conductivity

../../_images/fig_kappa_vs_grain_size706.png

(b) Peierls lattice thermal conductivity w.r.t grain size

Phonon lifetime and scattering rates

../../_images/fig_lifetime695.png

(a) Phonon lifetime due to phonon-phonon scattering

../../_images/fig_scat_rates694.png

(b) Phonon scattering rates

Cumulative and spectral thermal conductivity

../../_images/fig_cumu_frequency695.png

(a) Spectral and cumulative thermal conductivity w.r.t frequency

../../_images/fig_cumu_mfp695.png

(b) Spectral and cumulative thermal conductivity w.r.t MFP

Force constants

../../_images/fig_fc21005.png

(a) Force constants w.r.t atomic distance

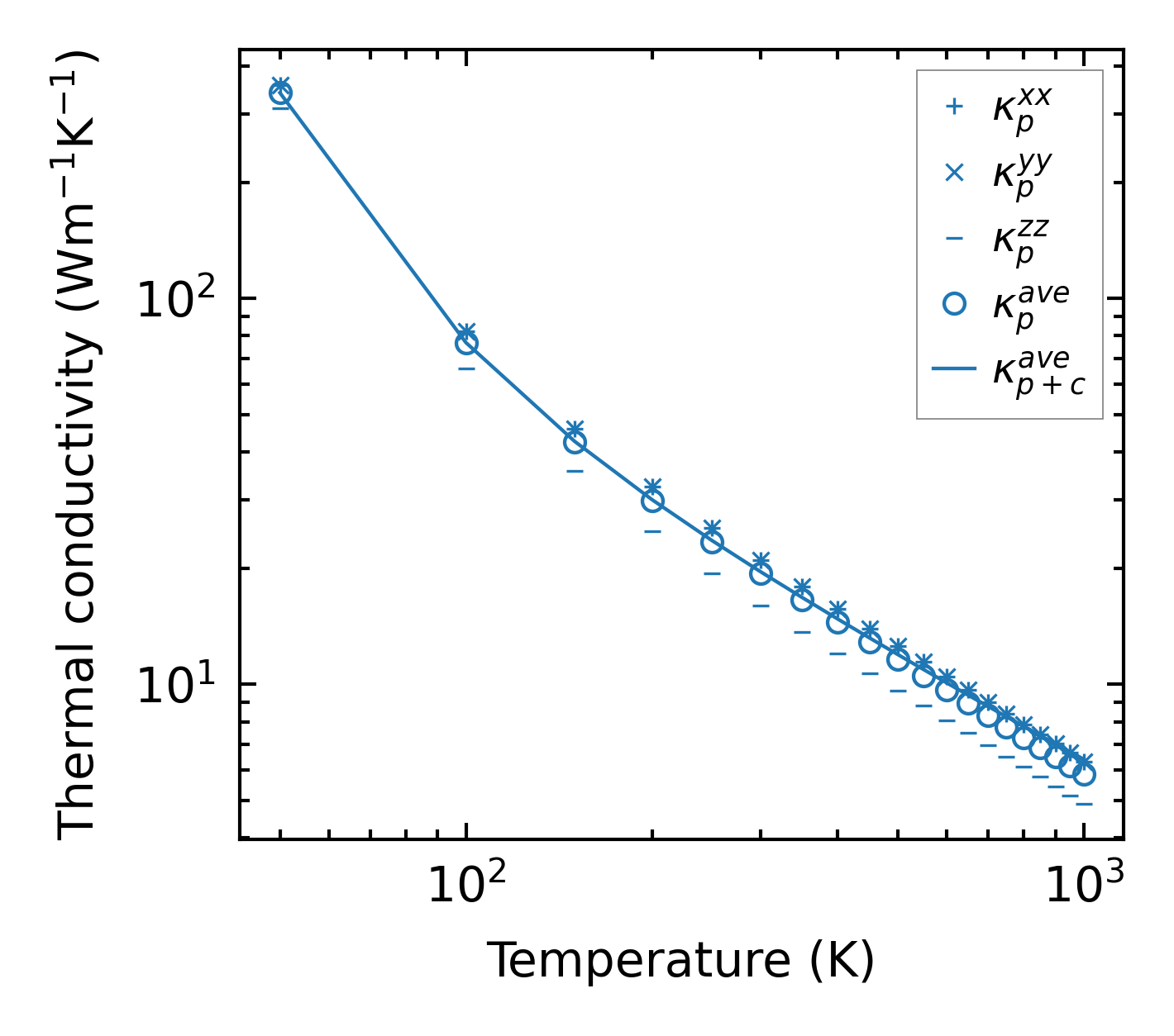
Summary

../../_images/fig_kappa1361.png

(a) Temperature-dependent lattice thermal conductivity

../../_images/fig_times1712.png

(b) Computation time