mp-9167/SrCN2/anharm

Harmonic properties

../../_images/fig_bandos_pr1379.png

(a) Phonon dispersion with participation ratio and DOS

../../_images/fig_thermo1379.png

(b) Thermodynamic properties

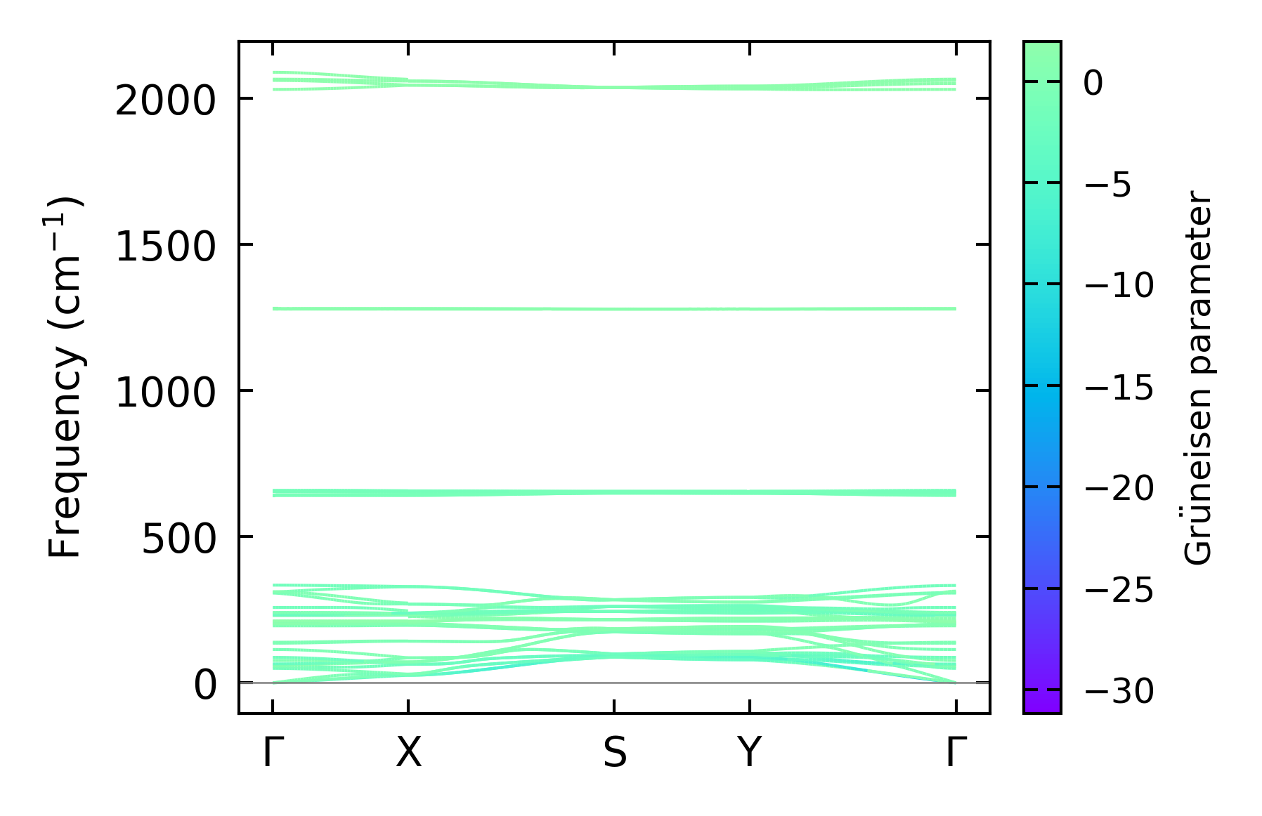
Grüneisen parameters

../../_images/fig_gru_all852.png

(a) Grüneisen parameters

../../_images/fig_gruneisen852.png

(b) Phonon dispersion with Grüneisen parameters

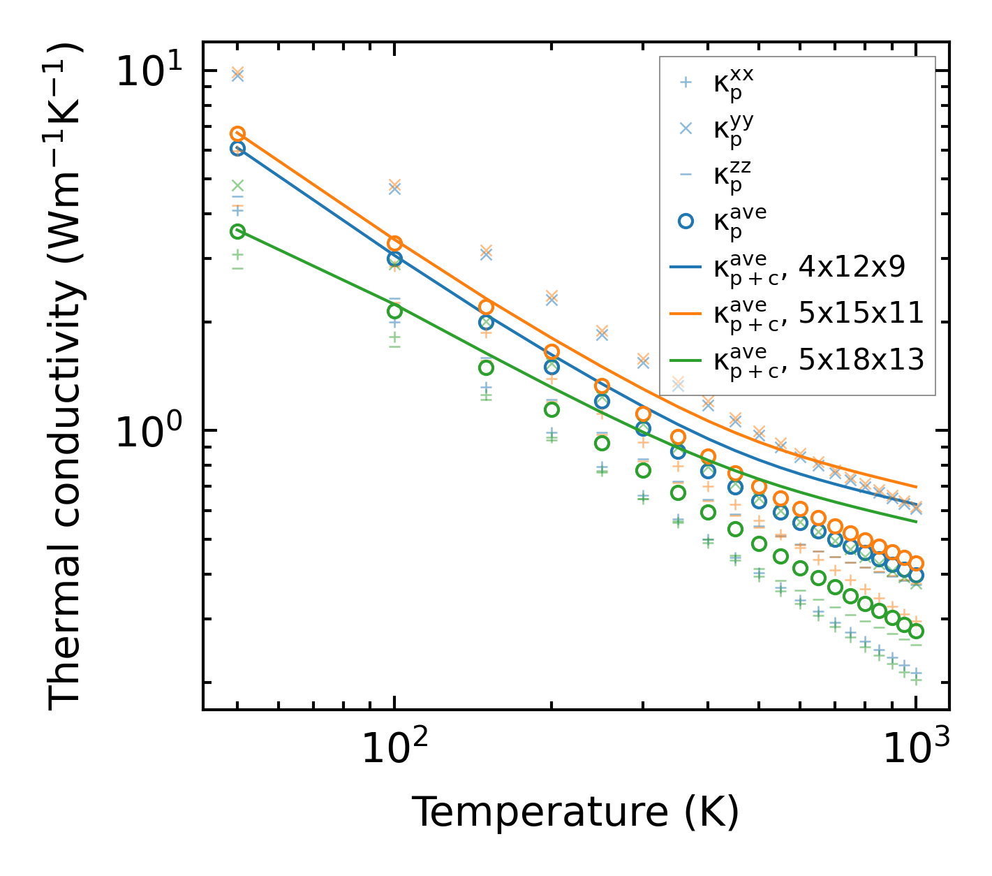
Thermal conductivity

3-phonon (LASSO) — q-mesh: 5x18x13, supercell: 1x3x3

../../_images/fig_kappa1655.png

(a) Temperature-dependent lattice thermal conductivity

../../_images/fig_kappa_vs_grain_size862.png

(b) Peierls lattice thermal conductivity w.r.t grain size

Phonon lifetime and scattering rates

../../_images/fig_lifetime846.png

(a) Phonon lifetime due to phonon-phonon scattering

../../_images/fig_scat_rates845.png

(b) Phonon scattering rates

Cumulative and spectral thermal conductivity

../../_images/fig_cumu_frequency846.png

(a) Spectral and cumulative thermal conductivity w.r.t frequency

../../_images/fig_cumu_mfp846.png

(b) Spectral and cumulative thermal conductivity w.r.t MFP

Force constants

../../_images/fig_fc21233.png

(a) Force constants w.r.t atomic distance

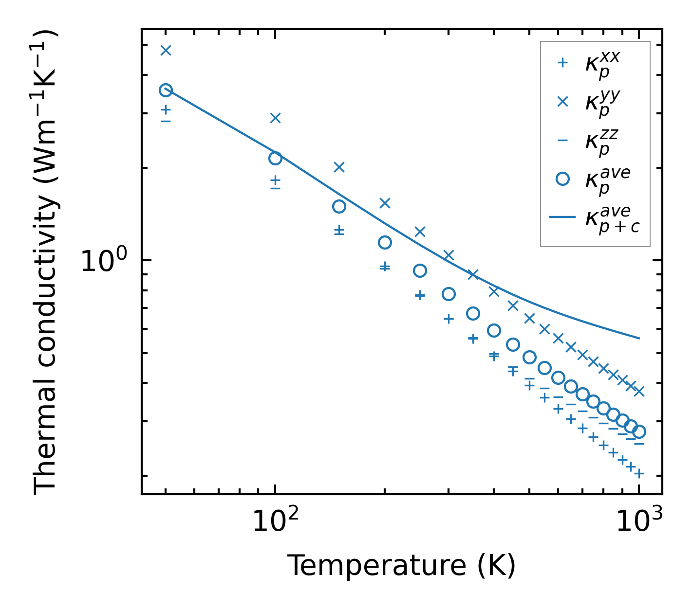
Summary

../../_images/fig_kappa1656.png

(a) Temperature-dependent lattice thermal conductivity

../../_images/fig_times2075.png

(b) Computation time