mp-9774-2/Ba4Sb2O/harm

Equation of state

../../_images/fig_bm422.png

(a) Equation of state

Harmonic properties

../../_images/fig_bandos_pr1231.png

(a) Phonon dispersion with participation ratio and DOS

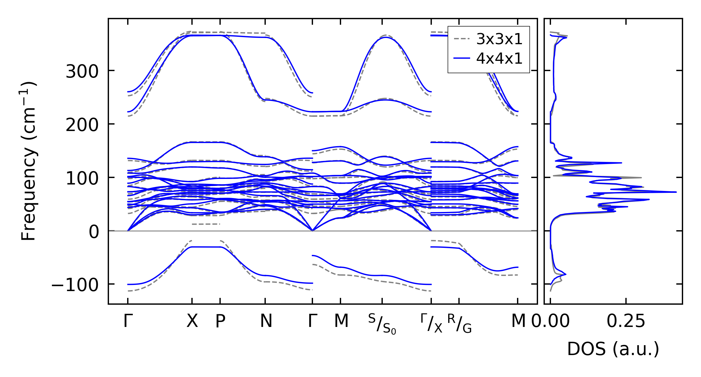
../../_images/fig_bandos1141.png

(b) Phonon dispersion and DOS

../../_images/fig_thermo1231.png

(c) Thermodynamic properties

Force constants

../../_images/fig_fc21097.png

(a) Force constants w.r.t atomic distance

Summary

../../_images/fig_times1842.png

(a) Computation time