mp-9197-2/Li3AsO4/anharm

Harmonic properties

../../_images/fig_bandos_pr1390.png

(a) Phonon dispersion with participation ratio and DOS

../../_images/fig_thermo1390.png

(b) Thermodynamic properties

Grüneisen parameters

../../_images/fig_gru_all857.png

(a) Grüneisen parameters

../../_images/fig_gruneisen857.png

(b) Phonon dispersion with Grüneisen parameters

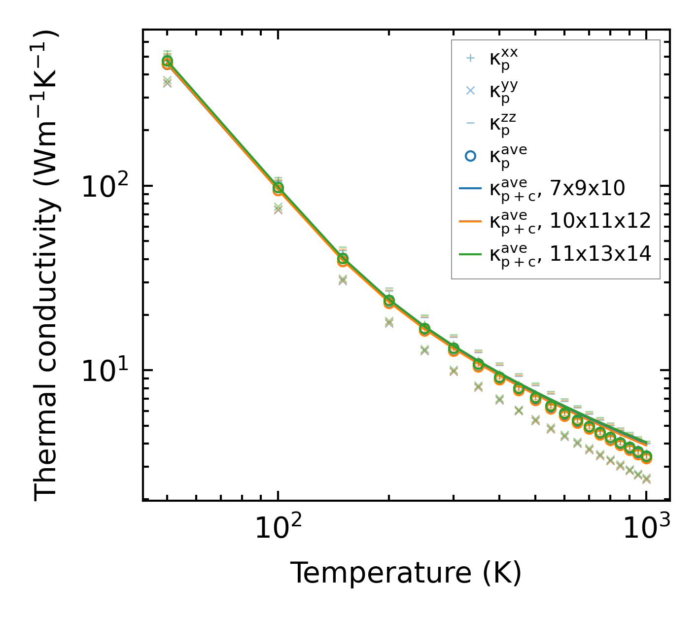
Thermal conductivity

3-phonon (LASSO) — q-mesh: 11x13x14, supercell: 2x2x2

../../_images/fig_kappa1665.png

(a) Temperature-dependent lattice thermal conductivity

../../_images/fig_kappa_vs_grain_size867.png

(b) Peierls lattice thermal conductivity w.r.t grain size

Phonon lifetime and scattering rates

../../_images/fig_lifetime851.png

(a) Phonon lifetime due to phonon-phonon scattering

../../_images/fig_scat_rates850.png

(b) Phonon scattering rates

Cumulative and spectral thermal conductivity

../../_images/fig_cumu_frequency851.png

(a) Spectral and cumulative thermal conductivity w.r.t frequency

../../_images/fig_cumu_mfp851.png

(b) Spectral and cumulative thermal conductivity w.r.t MFP

Force constants

../../_images/fig_fc21244.png

(a) Force constants w.r.t atomic distance

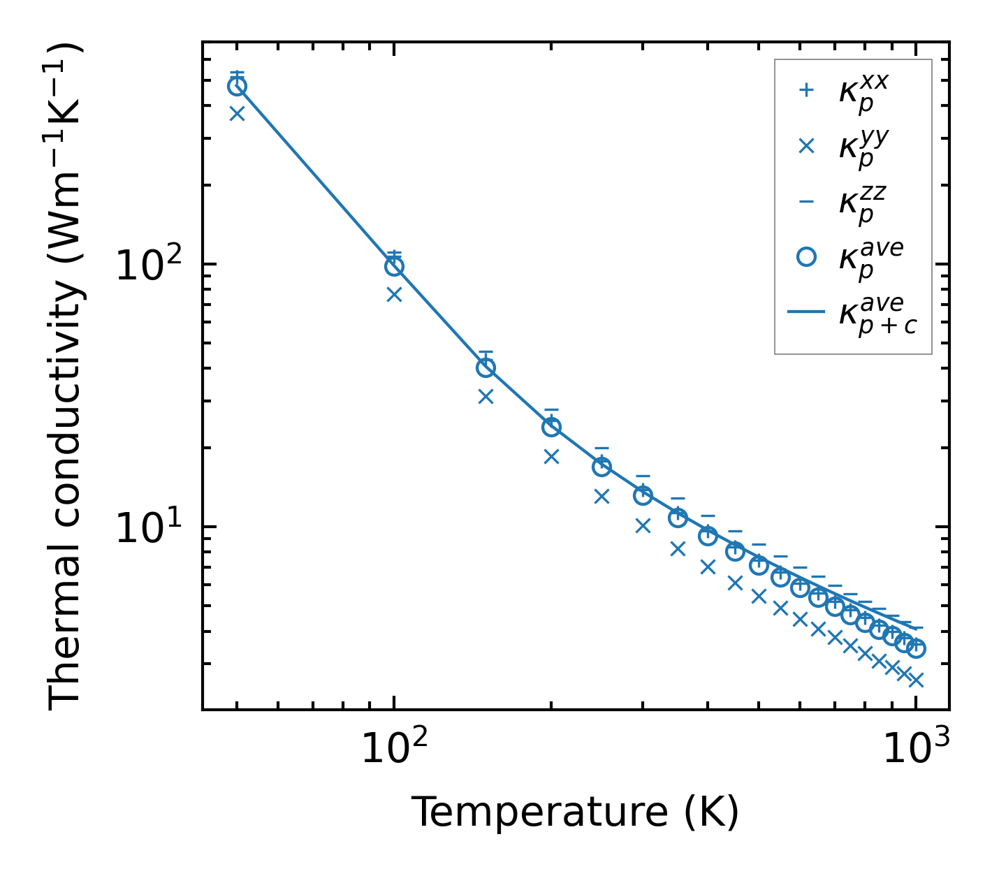
Summary

../../_images/fig_kappa1666.png

(a) Temperature-dependent lattice thermal conductivity

../../_images/fig_times2090.png

(b) Computation time