mp-9323/Tb2S3/anharm

Harmonic properties

../../_images/fig_bandos_pr1440.png

(a) Phonon dispersion with participation ratio and DOS

../../_images/fig_thermo1440.png

(b) Thermodynamic properties

Grüneisen parameters

../../_images/fig_gru_all886.png

(a) Grüneisen parameters

../../_images/fig_gruneisen886.png

(b) Phonon dispersion with Grüneisen parameters

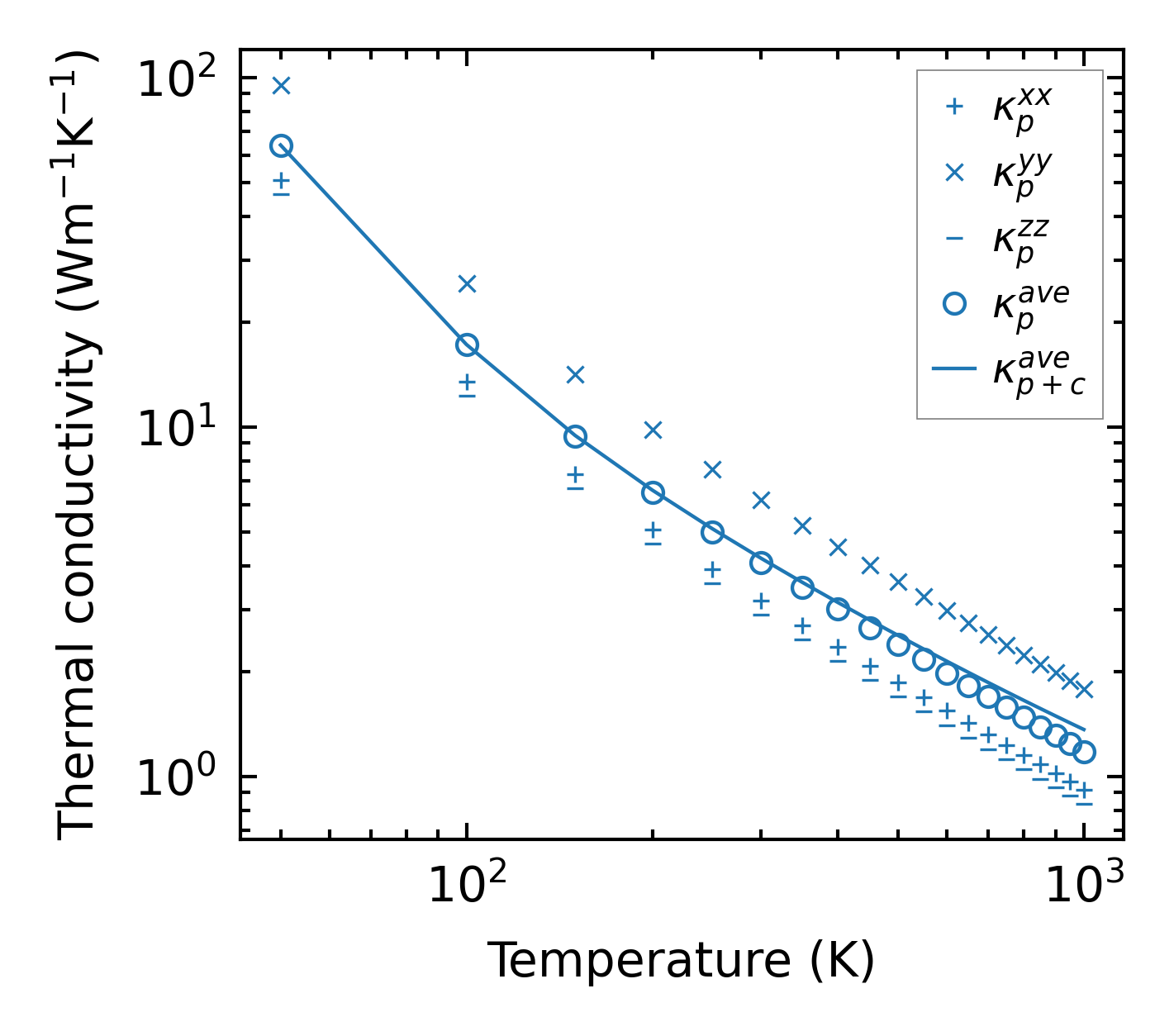
Thermal conductivity

3-phonon (LASSO) — q-mesh: 6x18x6, supercell: 1x3x2

../../_images/fig_kappa1720.png

(a) Temperature-dependent lattice thermal conductivity

../../_images/fig_kappa_vs_grain_size896.png

(b) Peierls lattice thermal conductivity w.r.t grain size

Phonon lifetime and scattering rates

../../_images/fig_lifetime879.png

(a) Phonon lifetime due to phonon-phonon scattering

../../_images/fig_scat_rates878.png

(b) Phonon scattering rates

Cumulative and spectral thermal conductivity

../../_images/fig_cumu_frequency879.png

(a) Spectral and cumulative thermal conductivity w.r.t frequency

../../_images/fig_cumu_mfp879.png

(b) Spectral and cumulative thermal conductivity w.r.t MFP

Force constants

../../_images/fig_fc21292.png

(a) Force constants w.r.t atomic distance

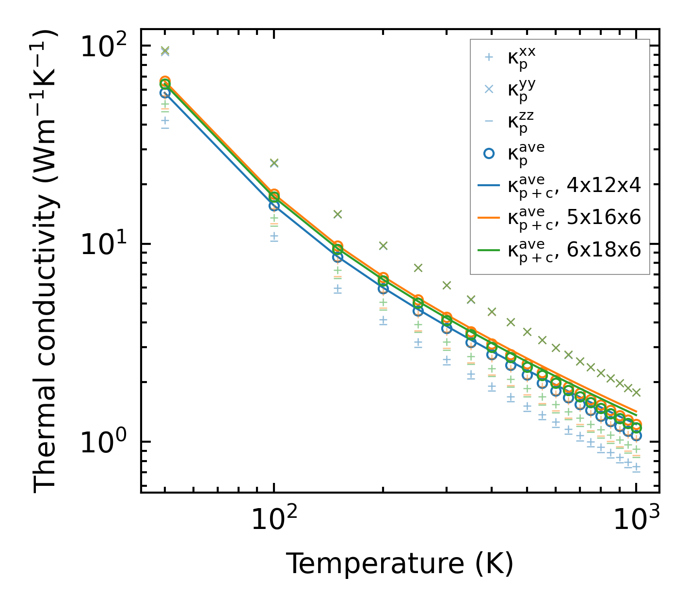
Summary

../../_images/fig_kappa1721.png

(a) Temperature-dependent lattice thermal conductivity

../../_images/fig_times2154.png

(b) Computation time