mp-9062/RbS/anharm

Harmonic properties

../../_images/fig_bandos_pr1352.png

(a) Phonon dispersion with participation ratio and DOS

../../_images/fig_thermo1352.png

(b) Thermodynamic properties

Grüneisen parameters

../../_images/fig_gru_all833.png

(a) Grüneisen parameters

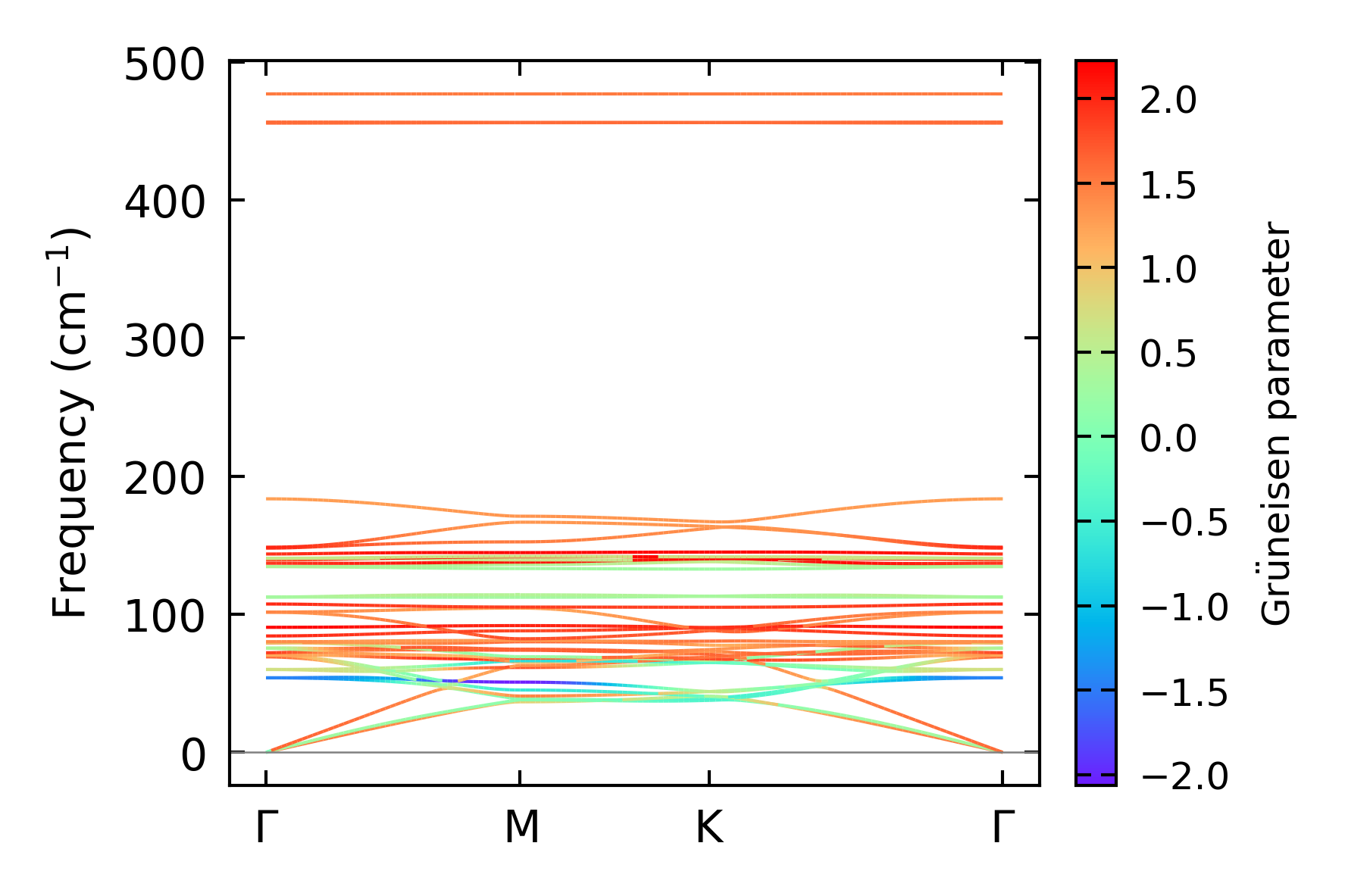
../../_images/fig_gruneisen833.png

(b) Phonon dispersion with Grüneisen parameters

Thermal conductivity

3-phonon (LASSO) — q-mesh: 8x8x12, supercell: 2x2x3

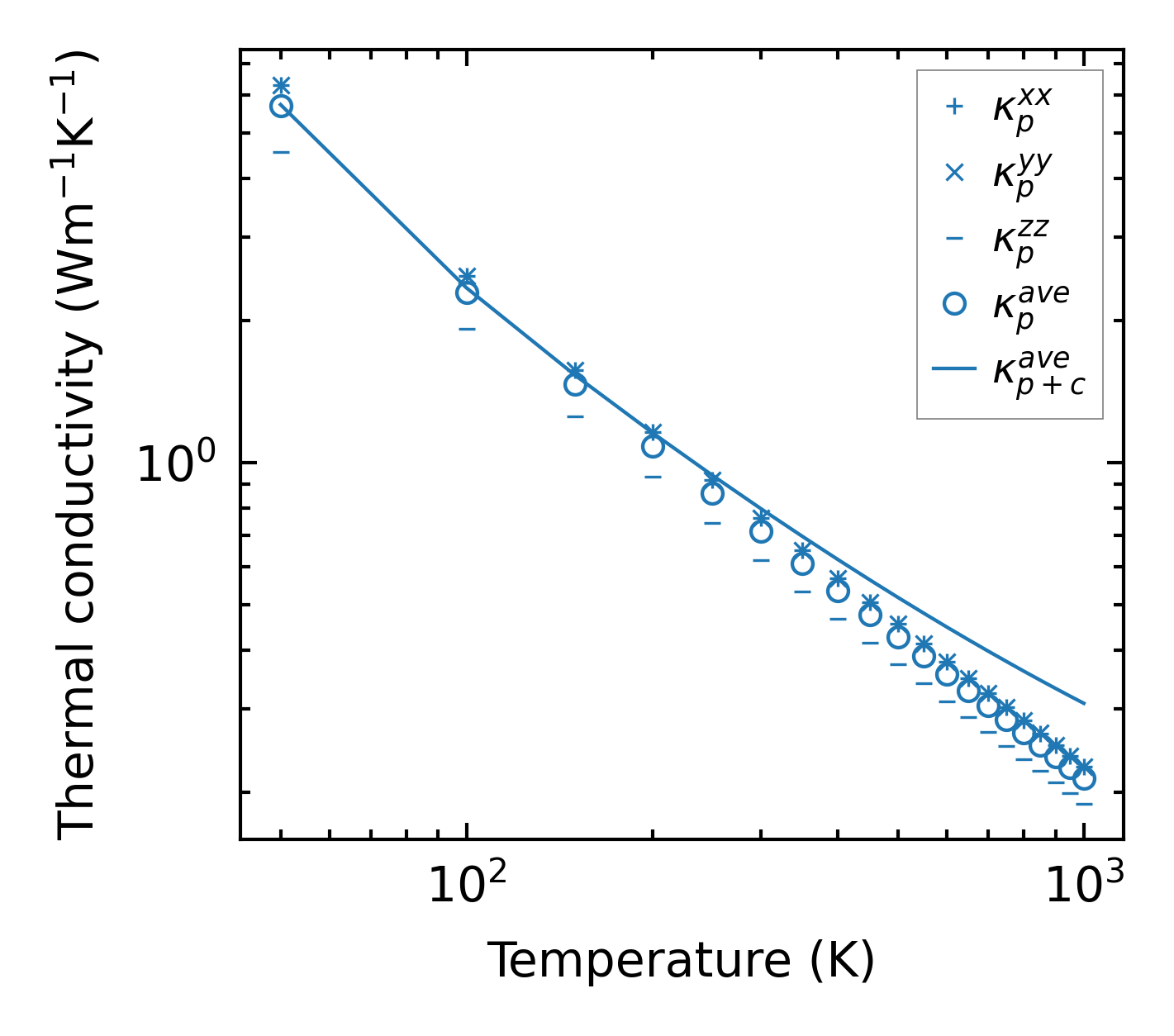
../../_images/fig_kappa1618.png

(a) Temperature-dependent lattice thermal conductivity

../../_images/fig_kappa_vs_grain_size843.png

(b) Peierls lattice thermal conductivity w.r.t grain size

Phonon lifetime and scattering rates

../../_images/fig_lifetime827.png

(a) Phonon lifetime due to phonon-phonon scattering

../../_images/fig_scat_rates826.png

(b) Phonon scattering rates

Cumulative and spectral thermal conductivity

../../_images/fig_cumu_frequency827.png

(a) Spectral and cumulative thermal conductivity w.r.t frequency

../../_images/fig_cumu_mfp827.png

(b) Spectral and cumulative thermal conductivity w.r.t MFP

Force constants

../../_images/fig_fc21207.png

(a) Force constants w.r.t atomic distance

Summary

../../_images/fig_kappa1619.png

(a) Temperature-dependent lattice thermal conductivity

../../_images/fig_times2034.png

(b) Computation time