mp-9921/ZrS3/anharm

Equation of state

../../_images/fig_bm449.png

(a) Equation of state

Harmonic properties

../../_images/fig_bandos_pr1285.png

(a) Phonon dispersion with participation ratio and DOS

../../_images/fig_thermo1285.png

(b) Thermodynamic properties

Grüneisen parameters

../../_images/fig_gru_all791.png

(a) Grüneisen parameters

../../_images/fig_gruneisen791.png

(b) Phonon dispersion with Grüneisen parameters

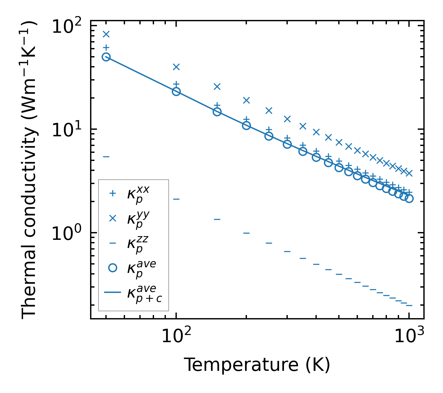
Thermal conductivity

3-phonon (LASSO) — q-mesh: 14x20x8, supercell: 3x3x2

../../_images/fig_kappa1537.png

(a) Temperature-dependent lattice thermal conductivity

../../_images/fig_kappa_vs_grain_size799.png

(b) Peierls lattice thermal conductivity w.r.t grain size

Phonon lifetime and scattering rates

../../_images/fig_lifetime785.png

(a) Phonon lifetime due to phonon-phonon scattering

../../_images/fig_scat_rates784.png

(b) Phonon scattering rates

Cumulative and spectral thermal conductivity

../../_images/fig_cumu_frequency785.png

(a) Spectral and cumulative thermal conductivity w.r.t frequency

../../_images/fig_cumu_mfp785.png

(b) Spectral and cumulative thermal conductivity w.r.t MFP

Force constants

../../_images/fig_fc21151.png

(a) Force constants w.r.t atomic distance

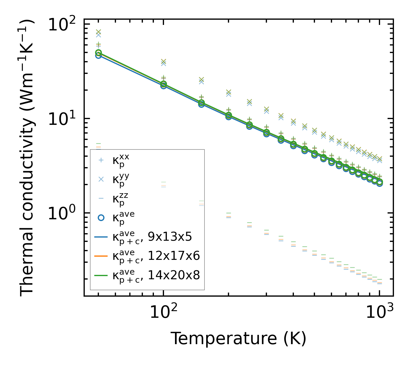
Summary

../../_images/fig_kappa1538.png

(a) Temperature-dependent lattice thermal conductivity

../../_images/fig_times1918.png

(b) Computation time