mp-9486-2/K2AlF5/anharm

Harmonic properties

../../_images/fig_bandos_pr1127.png

(a) Phonon dispersion with participation ratio and DOS

../../_images/fig_thermo1127.png

(b) Thermodynamic properties

Grüneisen parameters

../../_images/fig_gru_all689.png

(a) Grüneisen parameters

../../_images/fig_gruneisen689.png

(b) Phonon dispersion with Grüneisen parameters

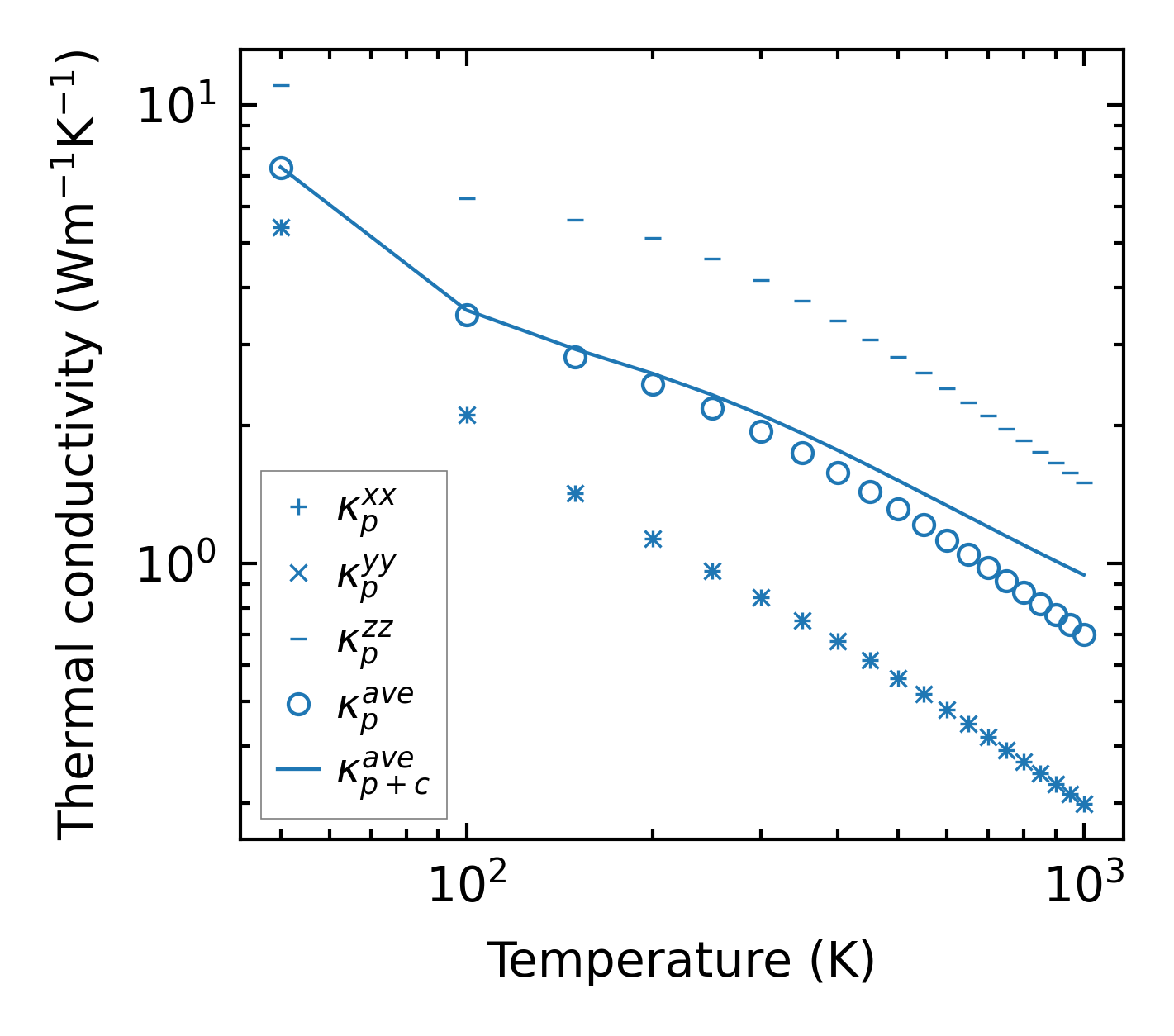
Thermal conductivity

3-phonon (LASSO) — q-mesh: 12x12x19, supercell: 2x2x4

../../_images/fig_kappa1345.png

(a) Temperature-dependent lattice thermal conductivity

../../_images/fig_kappa_vs_grain_size698.png

(b) Peierls lattice thermal conductivity w.r.t grain size

Phonon lifetime and scattering rates

../../_images/fig_lifetime687.png

(a) Phonon lifetime due to phonon-phonon scattering

../../_images/fig_scat_rates686.png

(b) Phonon scattering rates

Cumulative and spectral thermal conductivity

../../_images/fig_cumu_frequency687.png

(a) Spectral and cumulative thermal conductivity w.r.t frequency

../../_images/fig_cumu_mfp687.png

(b) Spectral and cumulative thermal conductivity w.r.t MFP

Force constants

../../_images/fig_fc2993.png

(a) Force constants w.r.t atomic distance

Summary

../../_images/fig_kappa1346.png

(a) Temperature-dependent lattice thermal conductivity

../../_images/fig_times1694.png

(b) Computation time