mp-6989-2/BaSeO3/anharm

Equation of state

../../_images/fig_bm3291.png

(a) Equation of state

Harmonic properties

../../_images/fig_bandos_pr6241.png

(a) Phonon dispersion with participation ratio and DOS

../../_images/fig_thermo6241.png

(b) Thermodynamic properties

Grüneisen parameters

../../_images/fig_gru_all2545.png

(a) Grüneisen parameters

../../_images/fig_gruneisen2545.png

(b) Phonon dispersion with Grüneisen parameters

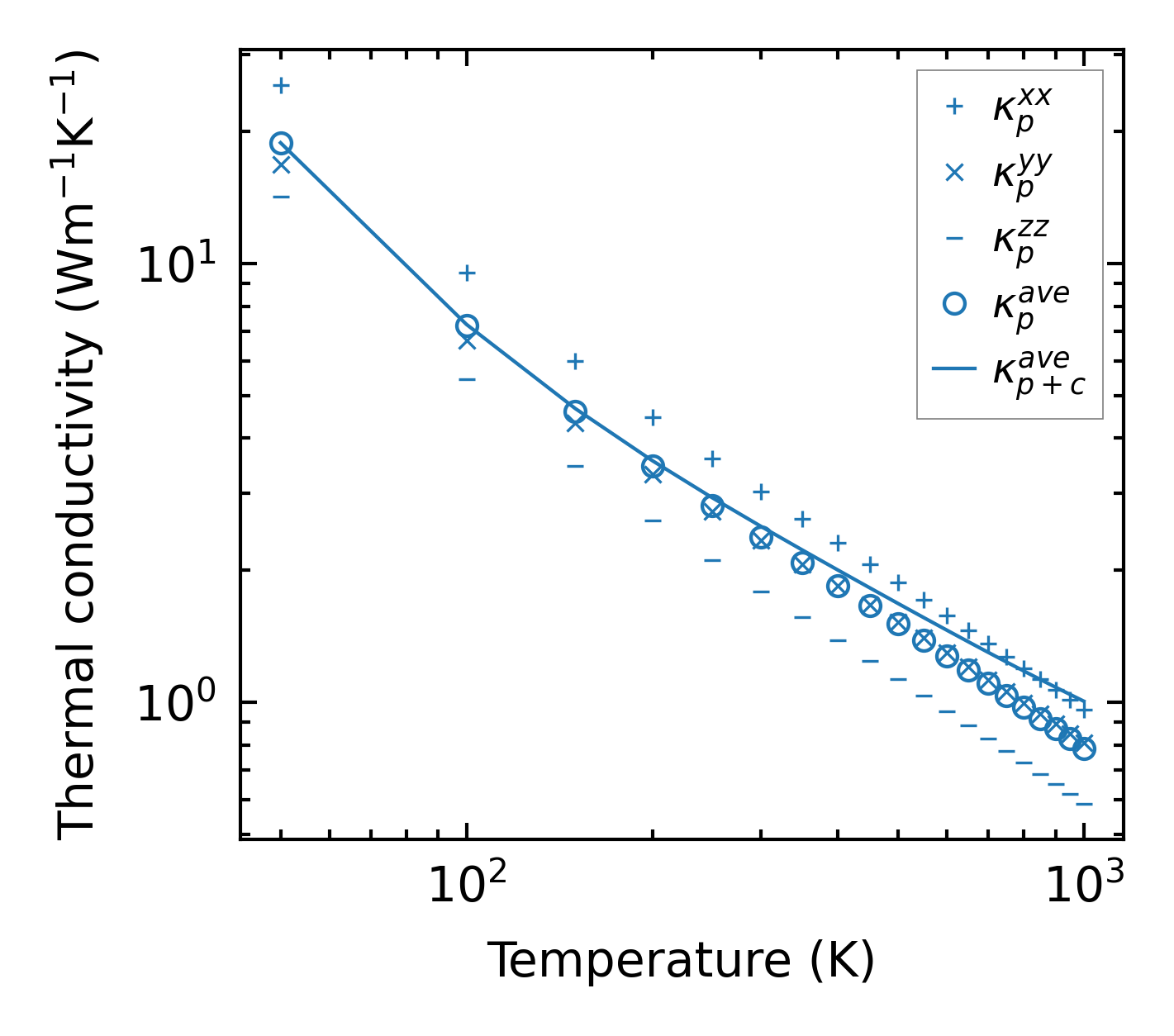
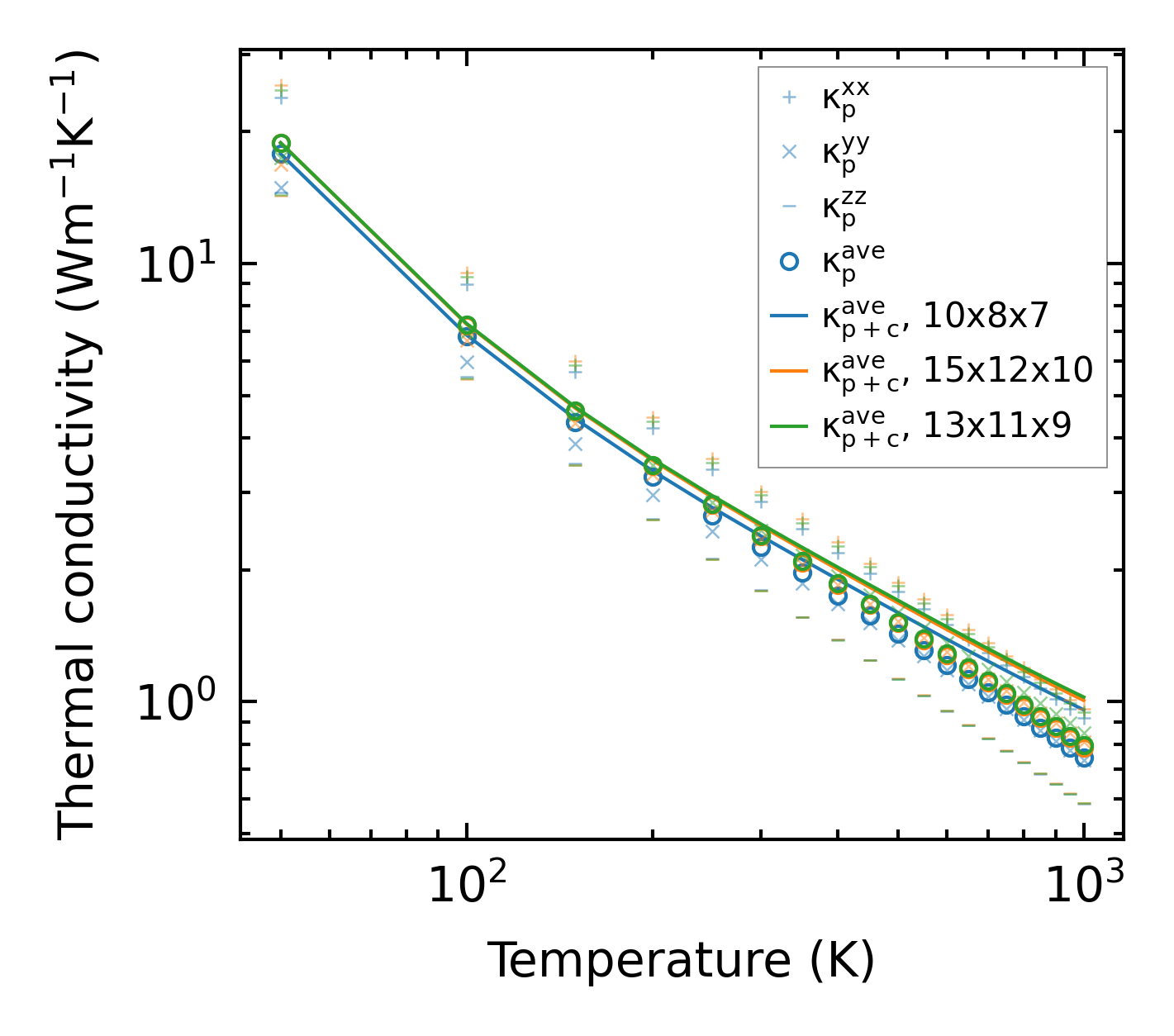
Thermal conductivity

3-phonon (LASSO) — q-mesh: 15x12x10, supercell: 3x2x2

../../_images/fig_kappa4844.png

(a) Temperature-dependent lattice thermal conductivity

../../_images/fig_kappa_vs_grain_size2579.png

(b) Peierls lattice thermal conductivity w.r.t grain size

Phonon lifetime and scattering rates

../../_images/fig_lifetime2526.png

(a) Phonon lifetime due to phonon-phonon scattering

../../_images/fig_scat_rates2525.png

(b) Phonon scattering rates

Cumulative and spectral thermal conductivity

../../_images/fig_cumu_frequency2526.png

(a) Spectral and cumulative thermal conductivity w.r.t frequency

../../_images/fig_cumu_mfp2525.png

(b) Spectral and cumulative thermal conductivity w.r.t MFP

Force constants

../../_images/fig_fc26031.png

(a) Force constants w.r.t atomic distance

Summary

../../_images/fig_kappa4845.png

(a) Temperature-dependent lattice thermal conductivity

../../_images/fig_times11332.png

(b) Computation time