mp-6968/Cs2KCuF6/anharm

Harmonic properties

../../_images/fig_bandos_pr6228.png

(a) Phonon dispersion with participation ratio and DOS

../../_images/fig_thermo6228.png

(b) Thermodynamic properties

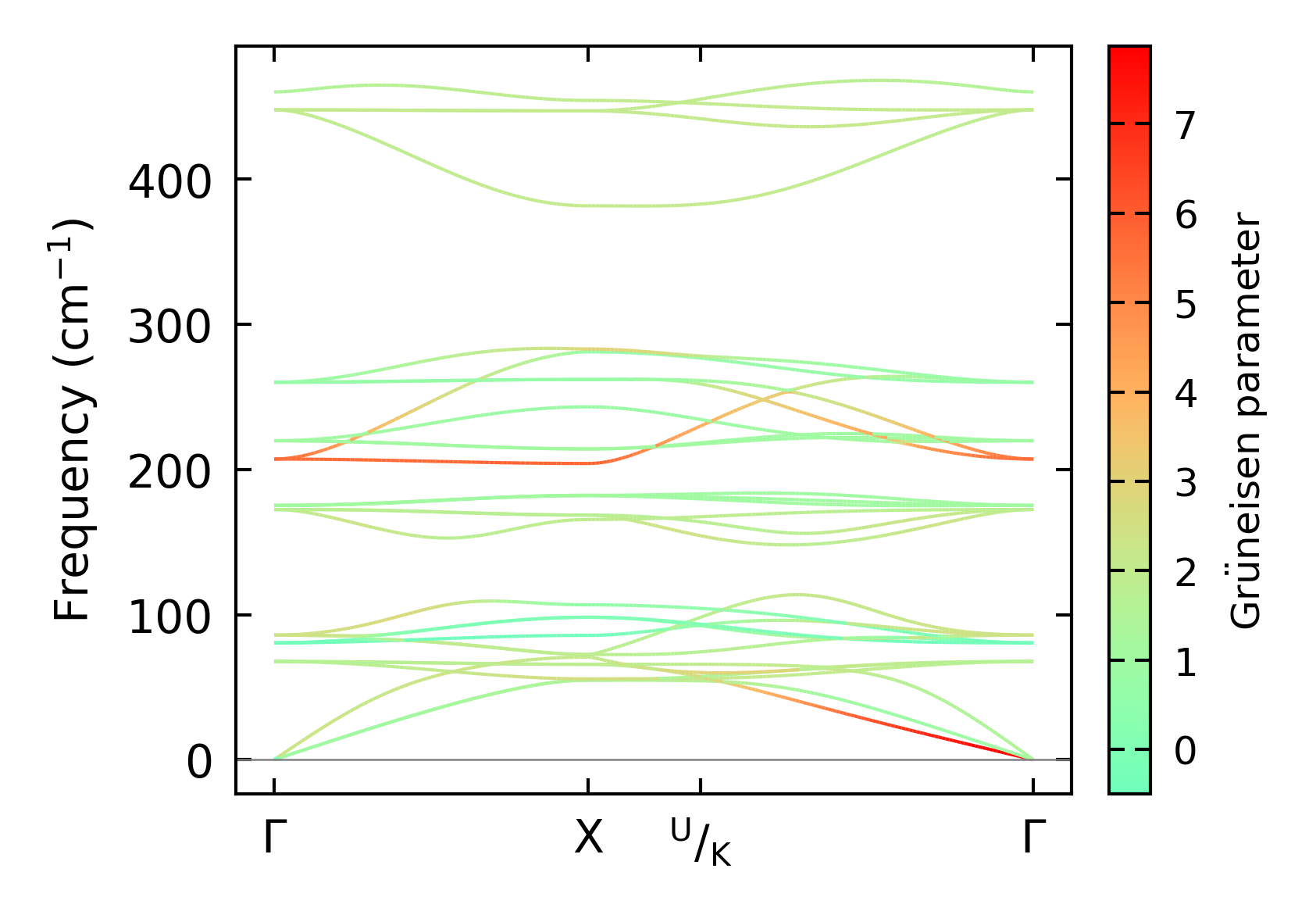
Grüneisen parameters

../../_images/fig_gru_all2532.png

(a) Grüneisen parameters

../../_images/fig_gruneisen2532.png

(b) Phonon dispersion with Grüneisen parameters

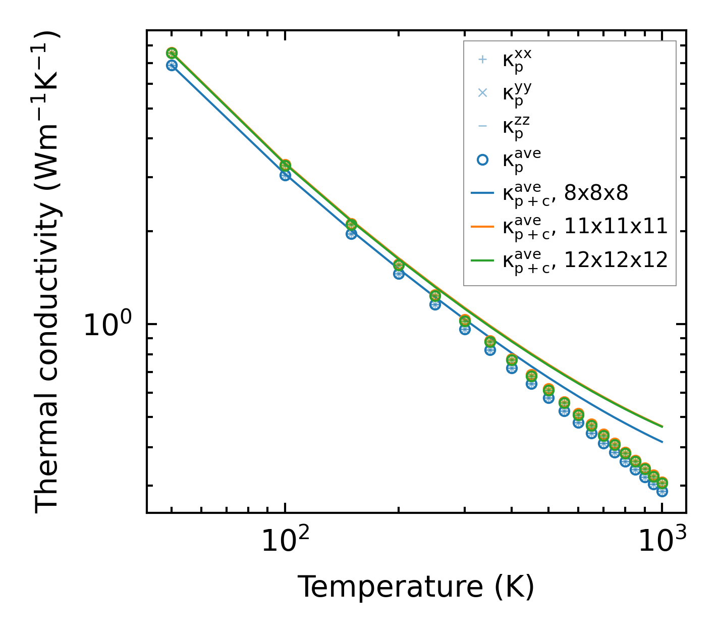
Thermal conductivity

3-phonon (LASSO) — q-mesh: 12x12x12, supercell: 1x1x1

../../_images/fig_kappa4817.png

(a) Temperature-dependent lattice thermal conductivity

../../_images/fig_kappa_vs_grain_size2565.png

(b) Peierls lattice thermal conductivity w.r.t grain size

Force constants

../../_images/fig_fc26018.png

(a) Force constants w.r.t atomic distance

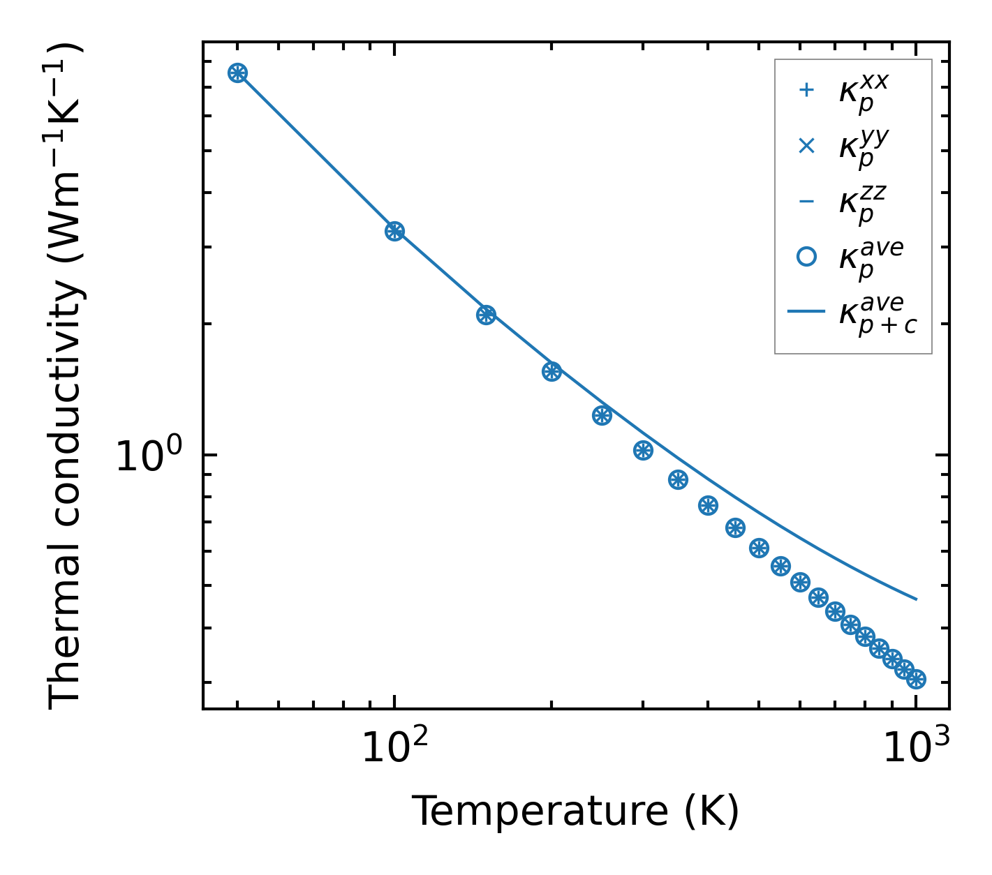
Summary

../../_images/fig_kappa4818.png

(a) Temperature-dependent lattice thermal conductivity

../../_images/fig_times11317.png

(b) Computation time