mp-6495/BaEr2ZnO5/anharm

Harmonic properties

../../_images/fig_bandos_pr6446.png

(a) Phonon dispersion with participation ratio and DOS

../../_images/fig_thermo6446.png

(b) Thermodynamic properties

Grüneisen parameters

../../_images/fig_gru_all2629.png

(a) Grüneisen parameters

../../_images/fig_gruneisen2629.png

(b) Phonon dispersion with Grüneisen parameters

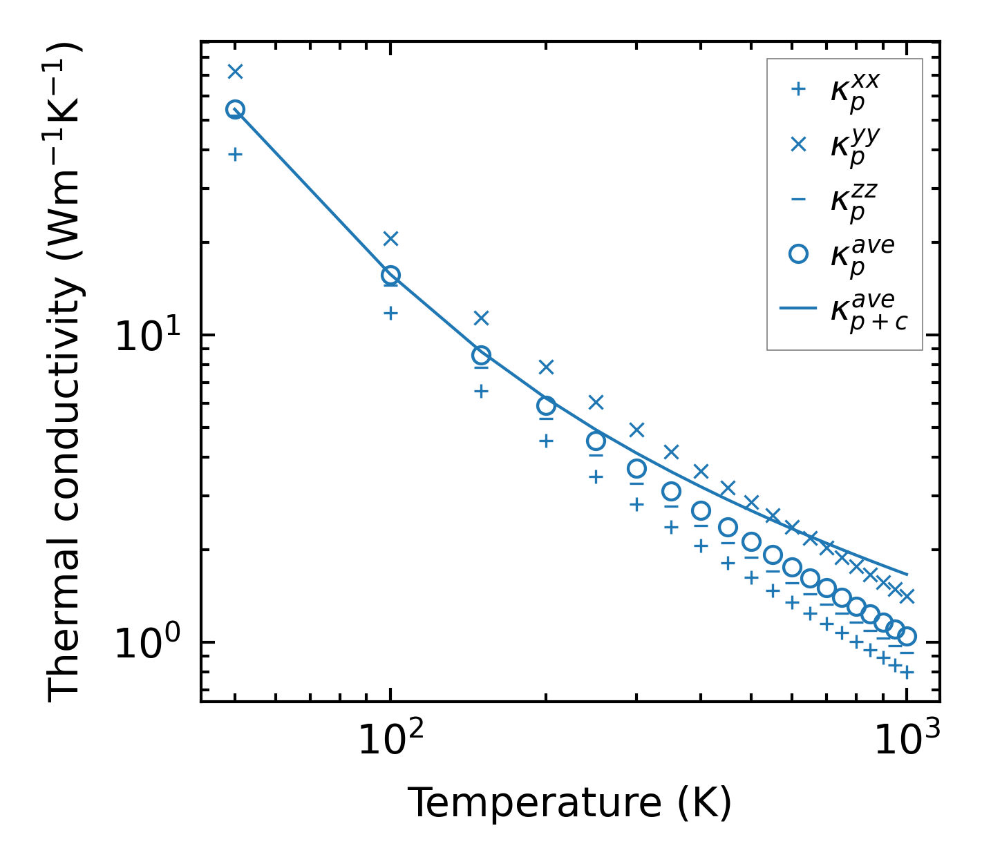
Thermal conductivity

3-phonon (LASSO) — q-mesh: 5x12x10, supercell: 1x2x2

../../_images/fig_kappa4998.png

(a) Temperature-dependent lattice thermal conductivity

../../_images/fig_kappa_vs_grain_size2665.png

(b) Peierls lattice thermal conductivity w.r.t grain size

Phonon lifetime and scattering rates

../../_images/fig_lifetime2607.png

(a) Phonon lifetime due to phonon-phonon scattering

../../_images/fig_scat_rates2606.png

(b) Phonon scattering rates

Cumulative and spectral thermal conductivity

../../_images/fig_cumu_frequency2607.png

(a) Spectral and cumulative thermal conductivity w.r.t frequency

../../_images/fig_cumu_mfp2606.png

(b) Spectral and cumulative thermal conductivity w.r.t MFP

Force constants

../../_images/fig_fc26236.png

(a) Force constants w.r.t atomic distance

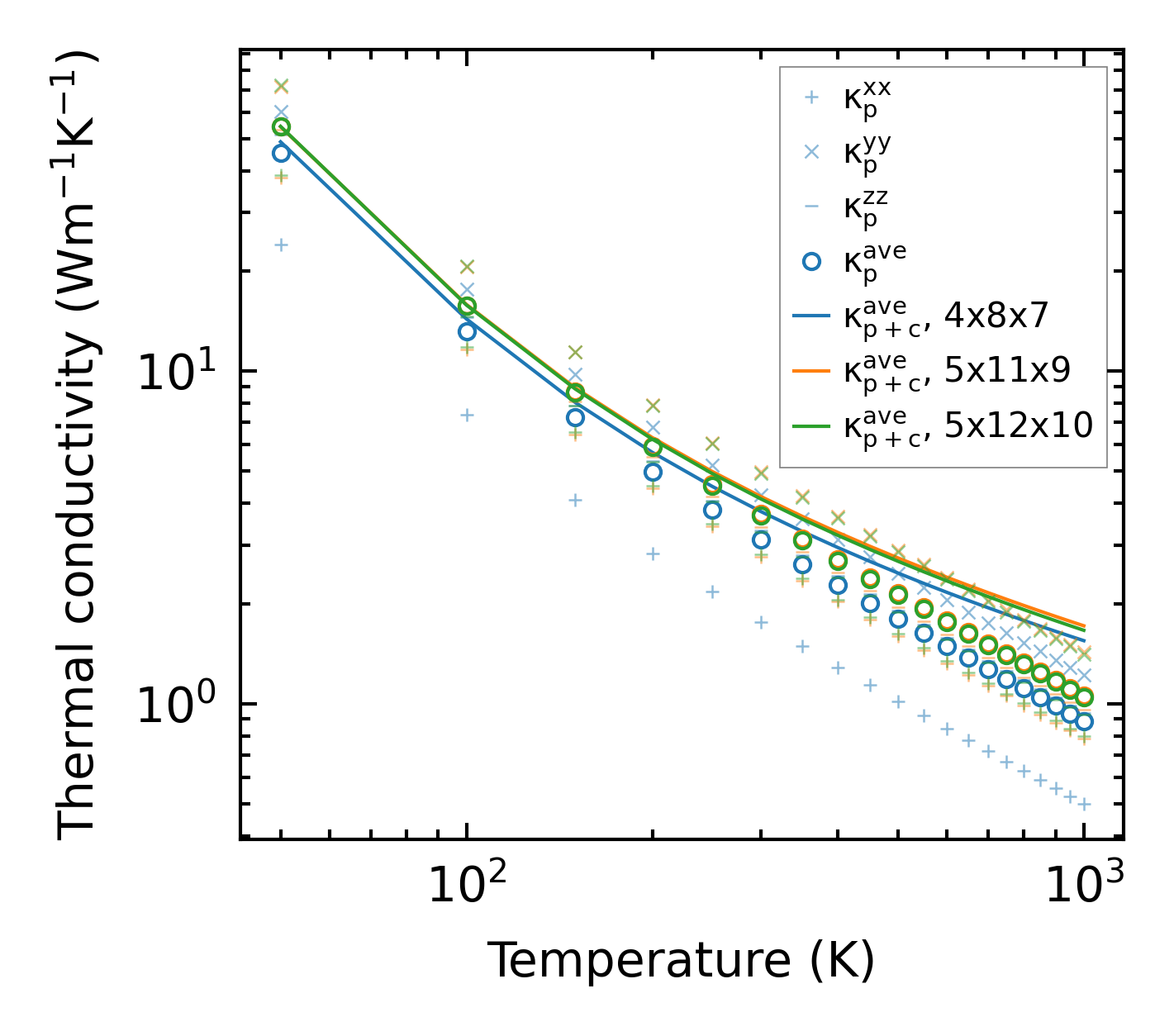
Summary

../../_images/fig_kappa4999.png

(a) Temperature-dependent lattice thermal conductivity

../../_images/fig_times11597.png

(b) Computation time