mp-6867-2/KCaCO3F/anharm

Equation of state

../../_images/fig_bm3269.png

(a) Equation of state

Harmonic properties

../../_images/fig_bandos_pr6198.png

(a) Phonon dispersion with participation ratio and DOS

../../_images/fig_thermo6198.png

(b) Thermodynamic properties

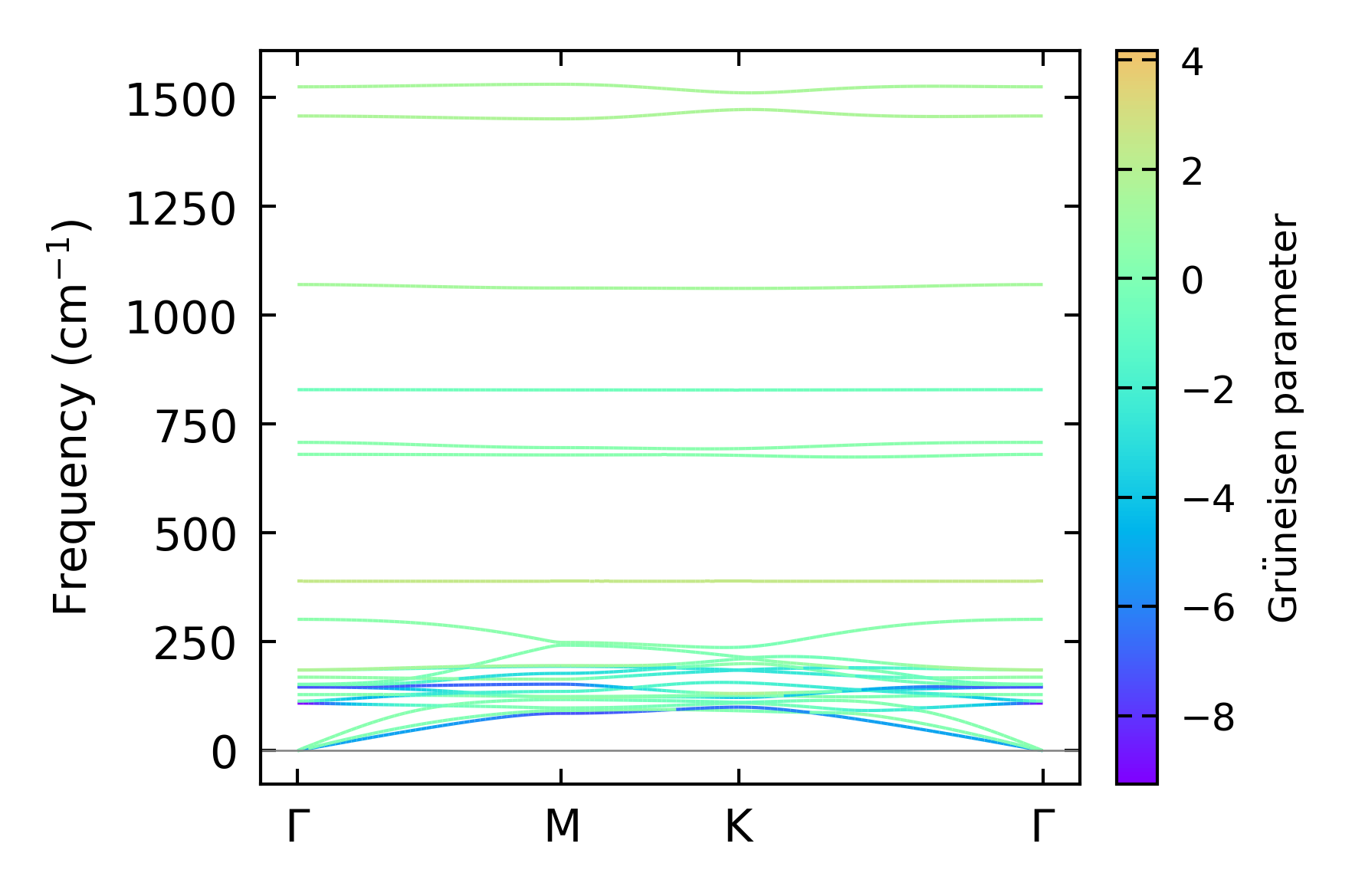
Grüneisen parameters

../../_images/fig_gru_all2516.png

(a) Grüneisen parameters

../../_images/fig_gruneisen2516.png

(b) Phonon dispersion with Grüneisen parameters

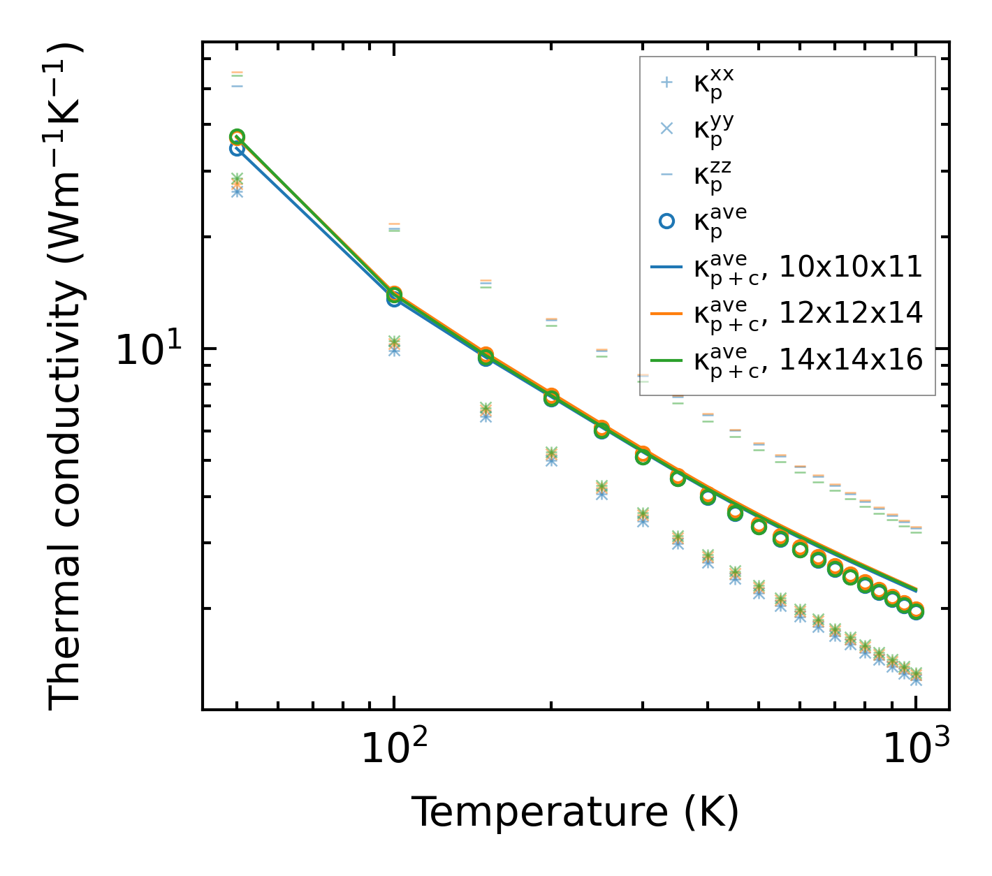
Thermal conductivity

3-phonon (LASSO) — q-mesh: 14x14x16, supercell: 2x2x3

../../_images/fig_kappa4784.png

(a) Temperature-dependent lattice thermal conductivity

../../_images/fig_kappa_vs_grain_size2548.png

(b) Peierls lattice thermal conductivity w.r.t grain size

Phonon lifetime and scattering rates

../../_images/fig_lifetime2498.png

(a) Phonon lifetime due to phonon-phonon scattering

../../_images/fig_scat_rates2497.png

(b) Phonon scattering rates

Cumulative and spectral thermal conductivity

../../_images/fig_cumu_frequency2498.png

(a) Spectral and cumulative thermal conductivity w.r.t frequency

../../_images/fig_cumu_mfp2497.png

(b) Spectral and cumulative thermal conductivity w.r.t MFP

Force constants

../../_images/fig_fc25989.png

(a) Force constants w.r.t atomic distance

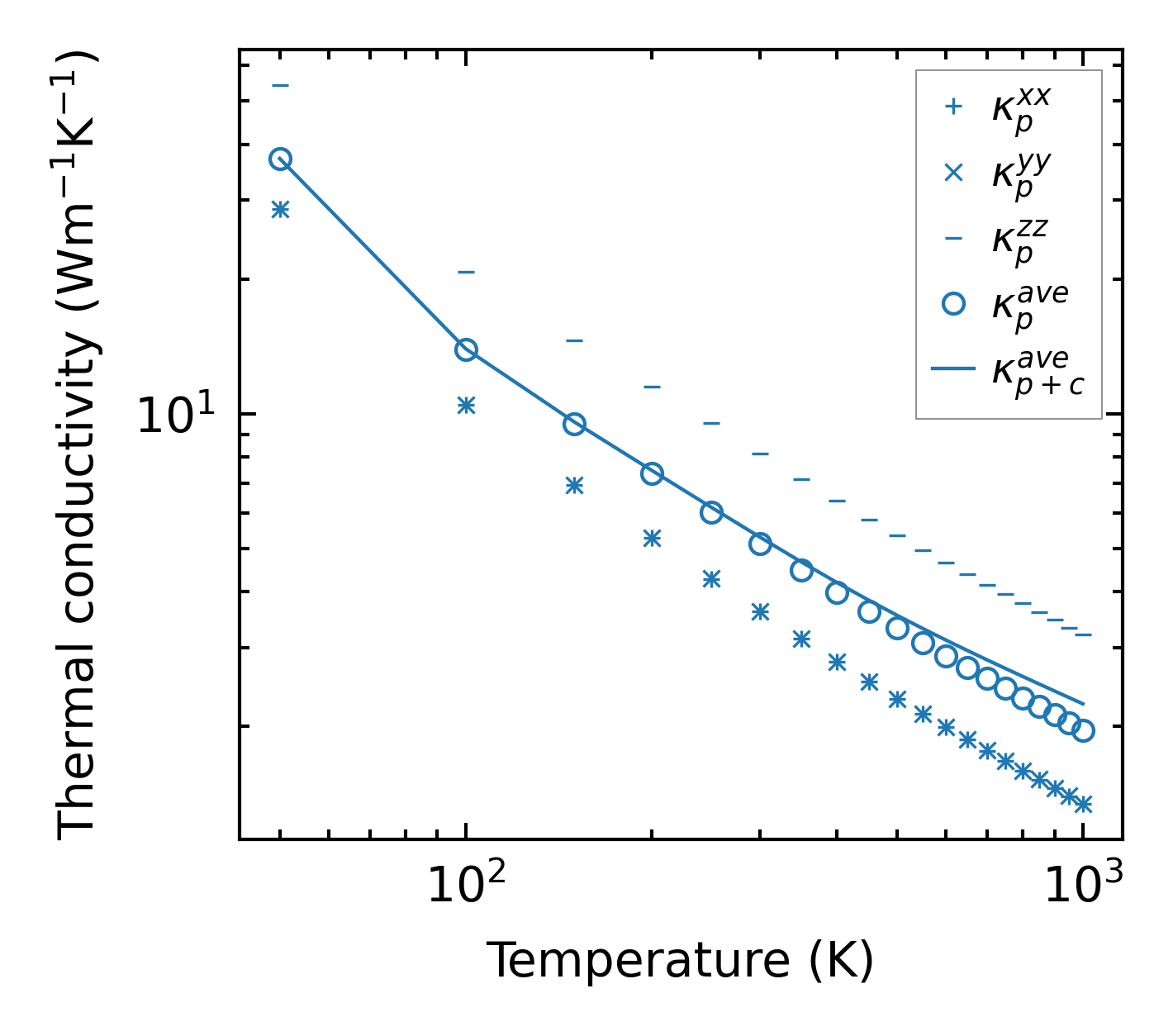
Summary

../../_images/fig_kappa4785.png

(a) Temperature-dependent lattice thermal conductivity

../../_images/fig_times11277.png

(b) Computation time