mp-6987/SrGa2Te4/anharm

Harmonic properties

../../_images/fig_bandos_pr6238.png

(a) Phonon dispersion with participation ratio and DOS

../../_images/fig_thermo6238.png

(b) Thermodynamic properties

Grüneisen parameters

../../_images/fig_gru_all2542.png

(a) Grüneisen parameters

../../_images/fig_gruneisen2542.png

(b) Phonon dispersion with Grüneisen parameters

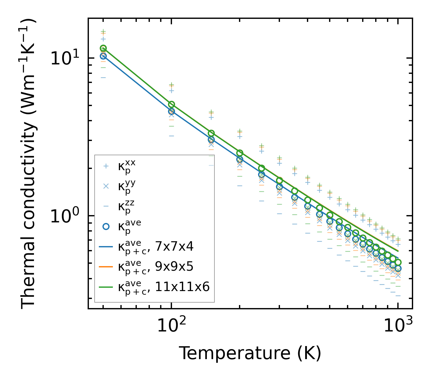
Thermal conductivity

3-phonon (LASSO) — q-mesh: 11x11x6, supercell: 2x2x1

../../_images/fig_kappa4838.png

(a) Temperature-dependent lattice thermal conductivity

../../_images/fig_kappa_vs_grain_size2576.png

(b) Peierls lattice thermal conductivity w.r.t grain size

Phonon lifetime and scattering rates

../../_images/fig_lifetime2523.png

(a) Phonon lifetime due to phonon-phonon scattering

../../_images/fig_scat_rates2522.png

(b) Phonon scattering rates

Cumulative and spectral thermal conductivity

../../_images/fig_cumu_frequency2523.png

(a) Spectral and cumulative thermal conductivity w.r.t frequency

../../_images/fig_cumu_mfp2522.png

(b) Spectral and cumulative thermal conductivity w.r.t MFP

Force constants

../../_images/fig_fc26028.png

(a) Force constants w.r.t atomic distance

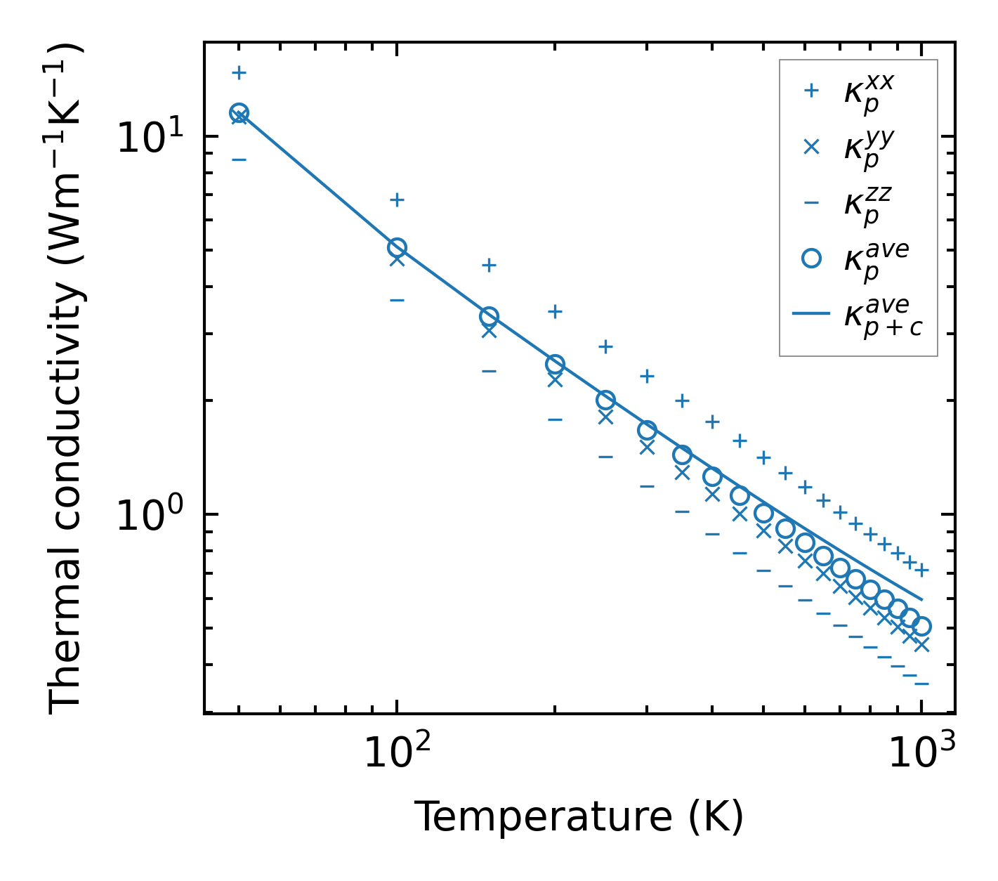
Summary

../../_images/fig_kappa4839.png

(a) Temperature-dependent lattice thermal conductivity

../../_images/fig_times11329.png

(b) Computation time